时间:2023-01-30 16:22
人气:
作者:admin
本文介绍了补偿放大器(例如ADA4895-2,增益高于+9时通常稳定)如何以低至+2的增益工作,与等效的内部补偿放大器相比,如何提供更高的压摆率和更快的建立时间。将介绍两种方法,并强调每种电路的优缺点。
ADA4895-2与ADA4896-2、ADA4897-1和ADA4897-2属于同一系列,是一款具有轨到轨输出的双通道低噪声、高速电压反馈放大器。该器件具有 1.5GHz 增益带宽积、940V/μs 压摆率、0.1ns 的 26ns 建立时间、10 Hz 时的 2nV/√Hz 1/f 噪声、1nV/√Hz 宽带噪声和 −72 dBc 2MHz 无杂散动态范围。 采用 3V 至 10V 电源供电, 每个放大器的静态电流为3 mA。

图1.方法1:补偿ADA4895-2以获得+2的稳定增益。
图1所示的方法1增加了一个简单的RC电路(RC= 28 Ω 和 CC= 56 pF)到反相输入和一个反馈电容(CF= 5 pF),与反馈电阻并联。该电路在高频下的噪声增益为+9,在低于谐振频率(1/2πR)的频率下具有+2的增益CCC= 100 兆赫。尽管较高频率下的噪声增益约为+9,但只要低通滤波器(由R形成)就可以保持较低的总输出噪声O和 CL,阻止高频内容。这允许放大器以+2的增益工作,同时保持非常低的总输出噪声(3.9 nV/√Hz)。
此配置可扩展,以适应+2至+9之间的任何增益。表1显示了每种增益设置的元件值和总宽带输出噪声。
表 1.用于增益的元件值< +10。RT= RO= 49.9 Ω.
| 获得 | RC(Ω) | CC(pF) | RG(Ω) | RF(Ω) | CL(pF) | 总输出噪声1(nV/√Hz) |
| +2 | 28.6 | 56 | 200 | 200 | 330 | 3.88 |
|
+3 |
33.3 |
56 |
100 |
200 |
270 | 5.24 |
|
+4 |
40 |
56 |
66.7 |
200 |
200 | 6.60 |
|
+5 |
50 |
56 |
50 |
200 |
150 | 7.96 |
|
+6 |
66.7 | 40 | 40 |
200 |
150 |
9.32 |
|
+7 |
113 | 30 | 37.5 | 226 | 120 | 10.82 |
|
+8 |
225 | 20 | 32.1 | 226 |
120 |
12.18 |
|
+9 |
不适用 | 不适用 | 31.1 | 249 | 100 | 13.67 |
|
1请参阅下面的完整总噪声方程。 |
||||||

图2.方法2:补偿ADA4895-2以获得+2的稳定增益。
方法2(如图2所示)增加一个电阻(R1反相和同相输入之间的= 28 Ω),将放大器的噪声增益提高到+9。R 两端未出现电压1,因此没有电流流过它。因此,输入阻抗看向R1与同相输入并联将保持高电平。输入至输出信号增益等于 1 + RF/RG,或在本例中为 +2。补偿电路中不使用电容器,因此没有频率依赖性。这意味着与第一种方法相比,宽带输出噪声在较低频率下始终较高。
这种配置也是可扩展的,以适应+2和+9之间的任何增益。表2显示了每种增益设置的元件值和总宽带输出噪声。
表 2.用于增益的元件值< +10。RT= RO= 49.9 Ω,CL= 120 pF。
| 获得 | R1(Ω) | RG(Ω) | RF(Ω) | 总输出噪声1(nV/√Hz) | ||
| +2 | 28.6 | 200 | 200 | 13.39 | ||
| +3 | 33.3 | 100 | 200 | 13.39 | ||
| +4 | 40 | 66.5 | 200 | 13.39 | ||
| +5 | 49.9 | 49.9 | 200 | 13.39 | ||
| +6 | 66.5 | 40 | 200 | 13.39 | ||
| +7 | 113 | 37.4 | 226 | 13.53 | ||
| +8 | 225 | 32.4 | 226 | 13.53 | ||
| +9 | 不适用 | 30.9 | 249 | 13.67 | ||
|
1请参阅下面的完整总噪声方程。 |
||||||
图3显示了图1和图2所示电路在50 Ω分析仪中的小信号和大信号频率响应,G = +5 V/V或14 dB。如图所示,两个电路都非常稳定,峰值略高于1 dB。只要使用表1和表2中的值,这种稳定性将适用于+2和+9之间的整个增益范围。
为了获得更好的总输出噪声,可以根据应用调整输出端的低通RC滤波器,以将该电路的带宽降低到50 MHz或更低。

图3.G = +5 时的频率响应。
为什么方法1的输出噪声比方法2更好
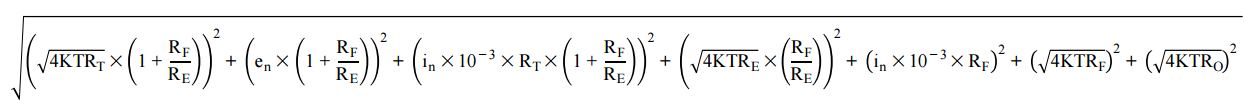
方法1的输出噪声远低于方法2,特别是在增益低于+7时,因为方法1的噪声增益仅在高频下较高。此时,可以使用低通滤波器来消除高频噪声成分。另一方面,在方法2中,放大器始终以+9的噪声增益工作,即使在低频下也是如此。因此,总输出噪声不随增益变化,如表2所示。以下等式对应于两种方法(注意:RE= RGR1).
方法1的公式:总输出噪声=

方法2的公式:总输出噪声=

每种方法的优缺点
我们展示了两种不同的方法,使用一些外部元件,使专为在较高增益下稳定而设计的放大器在较低增益下稳定工作。方法1使用更多的无源元件,与方法2相比,这可能会增加电路板空间并增加成本。作为回报,第一个电路的总输出噪声低于第二个电路的总输出噪声。因此,电路选择将取决于应用及其所需的规格。
如图4所示,与内部补偿ADA4897-2相比,去补偿ADA4895-2提供更高的压摆率(300 V/μs对100 V/μs)和更快的建立时间,后者在增益≥+1时保持稳定。这些优势随着电路增益的增加而增加。

图4.比较G = +2时的补偿和去补偿放大器。
结论
可以对失补偿放大器(如ADA4895-2)进行补偿,使其在G ≥+10下保持稳定,允许在较低增益下工作。本文介绍的两种方法以复杂性换取总宽带噪声。与等效的内部补偿ADA4897-2相比,两者都提供更高的压摆率和更快的建立时间,后者在G ≥ +1时保持稳定。
审核编辑:郭婷
下一篇:为什么旁路电容器的选择很重要
龙腾半导体SGT MOSFET LSGT085R018在智慧农业无