时间:2023-01-12 11:49
人气:
作者:admin
在共射接法的放大电路中,在低频小信号作用下,将晶体管看成一个线性的双端口网路,利用网络的H参数来表示输入端口、输出端口的电压与电流的相互关系,便可得出等效电路,称之为共射H参数等效模型。 这个模型只能用于放大电路低频动态小信号参数的分析。
关键词:共射H参数等效模型;
01三级管H参数等效模型
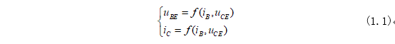
将晶体管看成一个双端口网络,并以b-e作为输入端口,并以c-e作为输出端口,如图1-1所示:

图1-1 晶体管双端口网络结构
则网络外部的端电压和电流关系就是晶体管的输入特性和输出特性,如图1-2、1-3所示:

图1-2 输入特性

图1-3 输出特性
可以根据图1-1写出关系式为:

式(1.1)中uBE、iB、uCE、iC均为各电量的瞬时总量,为了研究低频小信号作用下各变化量之间的关系,对式(1.1)两边求全微分,得出:

由于duBE代表uBE的变化部分,可以用Ube取代; 同理diB可用Ib取代,diC可用Ic取代,duCE可用Uce取代,根据电路原理网络分析知识,可从式(1.2)得出H参数方程:

其中式(1.3)中H参数的各个参数可以求得:

式(1.3)第一项表示,电压Ube由两个部分组成,第一项表示由Ib产生一个电压,因而H11为一电阻; 第二项表示由Uce产生的一个电压,因而H12是无量纲的; 所以三极管b-e间等效成一个电阻和一个电压控制的电压源串联。
式(1.3)第二项表示,电流Ic也由两部分组成,第一项表示由Ib控制产生一个电流,因而H21无量纲; 第二项表示由电压Uce产生一个电流,因而H22为电导; 所以三极管c-e间等效成一个电流控制的电流源与一个电阻并联。
这样,得到晶体管的等效模型如图1-4所示。 由于H参数的四个参数的量纲不同,随意称为H(混合)参数,由此得到的等效电路称为H参数等效模型。

图1-4 H参数等效模型
上一篇:从电路原理讲述二端口网络
下一篇:三极管H参数的物理意义及求解方法
龙腾半导体SGT MOSFET LSGT085R018在智慧农业无