时间:2023-01-12 11:48
人气:
作者:admin
对于输入端口1-1’和输出端口2-2’满足“对于所有时间t,从端子1流入方框的电流等于从端子1’流出的电流i;同时,从端子2流入方框的电流等于从端子2’流出的电流”,那么这种电路就可以称为二端口电路,简称为二端口。可以使用Y、Z和H参数分析二端口网络,但是在晶体管电路中,常用H参数(混合参数)进行分析。
关键词:二端口电路; H参数;
01二端口结构
假设两个端口电源U1和U2都是已知的,满足线性关系,并且电流方向和电压方向如图1-1所示:

图1-1 线性二端口的电流电压关系
02分析方法
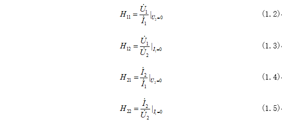
图1-1所示电路,可以使用H参数(混合参数)来表示,如下所示:

其中H参数可以求得为:

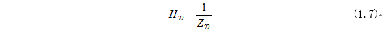
可见式(1.2)和式(1.4)具有短路参数的性质,式(1.3)和式(1.5)具有开路参数的性质,所以H11和H22参数可以表示为:


同时,另两个参数,H21可以表示两个电流之间的比值,H12可以表示两个电压之间的比值。
用矩阵形式表示时,有:

其中式(1.8)中的H表示为H参数矩阵:

上一篇:关于反相器电路原理图解
下一篇:三级管H参数等效模型详解
龙腾半导体SGT MOSFET LSGT085R018在智慧农业无