时间:2023-01-12 16:18
人气:
作者:admin
这一期计算下行滞回比较器——带参考电压的迟滞宽度,采用两种方法,第一是基于“虚短虚断”理论的理论分析方法,第二种是电路分析法来计算,两种各不相同。
关键词:下行滞回比较器;迟滞宽度;
01电路结构图
如图1-1所示,“下行滞回比较器——带参考电压”的电路图:

图1-1 滞回比较器——带参考电压电路图
图1-1电路中比较器采用LM339,以5V作为U3A的输入电源,那么输出电压高电平Voh=5V,输出电压低电平为Vol=0V,由于339内部结构,需要使用电阻R2进行上拉处理。
02电路分析方法1
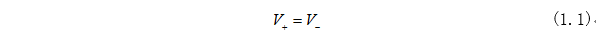
根据运放的“虚短”可以知道:

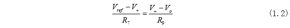
根据运放的“虚断”可以知道,没有电流流过运放,所以得:

其中已知阈值电压为:

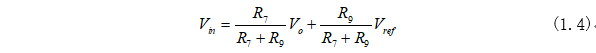
所以输入电压Vin可以根据式(1.1)和式(1.3)为:

当输入电压Vin高于阈值电压,输出电压为高电平VoH=5V;同理,当输入电压Vin低于阈值电压,输出电压为低电平VoL=0V,即:

其电压回差(迟滞宽度)为:

代入值,求得电压回差:

当电源V1为5V时,节点2处的电压为:

V1所在支路的电阻之后为:

其中将电阻R2和电阻R3合并可得:

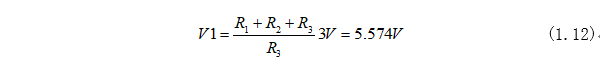
设置节点2为阈值电压3V,电源V1电压值为:

设置节点2处电压每次递减10mV,电源V1每次递减/递增电压为:

那么电源V1的电压回差可用式(1.8)计算为:

计算可得电源V1的电压回差为75mV,电源V1的输入范围为(5.528,5.62)。
03电路分析方法2
设置节点2为阈值电压3V,电源V1电压值为:

当节点2电压大于3V时,输出电压Vo就为低电平,此时电源V1电压为比较器U3A的迟滞上限电压;同理,当节点1电压小于3V时,输出电压Vo就为高电平,此时电源V1电压为比较器U3A的迟滞下限电压。
迟滞上限电压:
当输出电压Vo由高电平即将变化为低电平时(输出电压Vo此时还是高电平5V):

V1所在支路的电阻之后为:

求解节点电压VinH,并将V0L=0代入,VinH为:

同时求解节点1为3.02V对应电源V1的迟滞上限电压为:

迟滞下限电压:
当输出电压Vo由低电平即将变化为高电平时(输出电压Vo此时还是低电平0V):

V1所在支路的电阻之后为:

求解节点电压VinL,并将V0L=0V代入,VinL为:

同时求解节点2为2.97V对应电源V1的迟滞下限电压为:

比较器U3B设定的迟滞宽度为:

计算可得电源V1的电压回差为91mV,电源V1的输入范围为(5.528,5.62)。
两种方法结果是基本一样的!
龙腾半导体SGT MOSFET LSGT085R018在智慧农业无