时间:2023-01-13 14:34
人气:
作者:admin
上期介绍了四种迟滞比较器,这期使用其中两种进行过压低压电路的保护设计,并进行原理分析。
关键词:过压低压保护;
01电路结构图
电路结构图如图1-1所示:

图1-1
图1-1电路中比较器采用LM339,由于339内部结构,需要使用电阻R2进行上拉处理。
02电路结构图
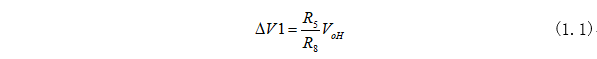
图1-1节点一所在的是“上行滞回比较器——带参考电源”,其中V4为参考电源Vref,V1为输入电源Vin,根据上期式(1.23)可得比较器U3A的电压回差为:

代入数值计算可得:

图1-1节点一所在的是“下行滞回比较器——带参考电源”,其中V4为参考电源Vref,V1为输入电源Vin,根据上期式(1.31)可得比较器U4B的电压回差为:

代入数值计算可得:

V1所在支路的电阻之后为:

以V1电源5V为中心点电压,可以计算节点1和节点2电压为:

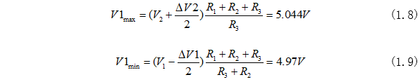
节点2限制最大电压,节点1限制最低电压,将各自的电压回差代入即可求得最大、最小输入电压:

最大电压和最小电压的差值为:

式(1.10)说明对于纹波电压为74mV的电源电压,电路图1-1不会发生跃变。
上一篇:迟滞比较器电路结构图及电路分析
下一篇:交叉调整率的定义及电路分析
龙腾半导体SGT MOSFET LSGT085R018在智慧农业无