时间:2022-02-10 16:30
人气:
作者:admin
随着技术的不断涌现,产生更快的高压信号的需求不断增长,而这种需求通常由终端设备驱动。这些终端设备可以是任何东西,从提高任意波形发生器 (AWG) 和高压时钟发生器的速度到驱动功率场效应晶体管或半导体测试设备的输入。
高电压和高电流对速度的要求不断提高,这给末级输出驱动放大器带来了巨大压力,要求其在工作的热限制范围内不使高频正弦信号失真。当涉及低电阻或高电容负载驱动时,输出放大器的高压、高频信号生成变得更具挑战性;当您需要高频下的高压摆幅时,放大器的最大线性输出电流驱动可能会受到限制。压摆率限制导致输出信号越来越失真,并且放大器无法在高频下提供或吸收所需的输出电流。
在这篇文章中,我将专注于在驱动低阻或高容性负载时改善高压、高频正弦信号的失真性能。
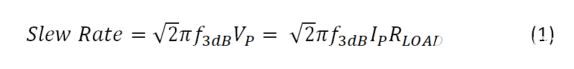
为了理解压摆率限制,我根据峰值输出电流 ( IP ) 稍微修改了大信号带宽的压摆率方程式,如方程式 1 所示:

其中,f 3dB是给定峰值输出电压 (V P ) 下放大器的 -3-dB 带宽,R LOAD是放大器输出端的总电阻负载。
为了保持恒定的压摆率,对于给定的 V P和 R LOAD ,I P应该增加。根据 R LOAD,这种线性输出电流要求可能非常高,这会自动对放大器的输出电流驱动能力施加严格限制,同时限制高频操作。对于容性负载,线性输出电流降低的影响更加明显,因为阻抗随着频率的增加而降低。
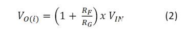
对抗这种输出电流驱动限制的有效方法是使用负载共享来提升驱动器。负载共享的概念是让多个并联放大器驱动一个共享输出负载,其中每个放大器由相同的输入源 (V IN ) 驱动,如图 1 所示。使用多个并联放大器驱动一个共享输出负载可以有效地降低每个放大器的输出电流要求乘以 1/N,其中 N 是并联放大器的数量。每个并联放大器的输出电压相同,因为它们由相同的 V IN驱动。

图 1:负载共享配置中的 N 个并联 THS3491 放大器
假设反馈 (R F )、增益 (R G ) 和输出串联电阻 (R S1 ) 完美匹配,公式 2 给出了各个放大器输出 V O(i)处的输入到输出传递函数:

其中 i =负载共享配置中的 1 到 N 个放大器。
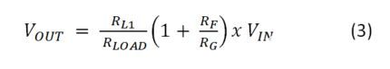
等式 3 表示电阻负载 (R L1 )的 V OUT处的输入到输出传递函数:

其中是负载共享配置中 N 个放大器的组合输出负载。
公式 4 计算负载共享配置中 N 个放大器的单个放大器输出电流驱动:

让我们以单个 THS3491 放大器在 20 V PP驱动 20 Ω 的 R LOAD为例。在这种情况下,所需的输出电流驱动为 ±500 mA。THS3491 在 ±7 V 至 ±15 V 范围内工作,提供 900 MHz 带宽,同时在 100 MHz 下实现 20 V PP输出电压摆幅并驱动 R负载100Ω。尽管 THS3491 可以支持 ±500 mA 的峰值输出电流,但其输出在示波器上可能看起来失真(或三角形),因为压摆率限制阻止了在高频下提供/吸收所需输出电流的能力。(对于任何高输出电流运算放大器 [op amp],跨频率输出电流的这种降低都是正确的。)在负载共享配置中使用两个 THS3491 放大器可在两个放大器之间平均分配 ±250 mA 的输出电流驱动,导致跨频率的输出波形失真较小。
图 2 和图 3 分别显示了二次 (HD2) 和三次谐波 (HD3) 测量结果,比较了两个、三个和四个 THS3491 并联放大器,同时以 20 Ω的 R负载驱动 20 V PP 。表 1 列出了用于创建20 Ω R LOAD的相应串联和分流电阻值。从失真图中可以看出,负载共享配置中失真性能的改善显然具有优势。使用两个并联放大器,谐波失真在 60 MHz 时会降低到 -30 dBc 以上。但是,对于三个或四个并联放大器,对于相同的 20-V PP输出摆幅,输出电流驱动强度远远超过 100 MHz 。

图 2:并联 THS3491 放大器的 HD2 与频率的关系;测试条件:VO = 20 V PP , R LOAD = 20 Ω

图 3:并联 THS3491 放大器的 HD3 与频率的关系;测试条件:VO = 20 V PP , R LOAD = 20 Ω

表 1:THS3491 并联放大器配置的输出电阻值,以创建 R负载= 20 Ω
您可以从这种负载共享方法中推断出两件事:
需要注意的一点是,使用负载共享配置的缺点是稳定性降低,因为长输入和输出印刷电路板 (PCB) 信号会导致电容负载增加。输出推/拉电流不匹配与系统功耗增加是这种方法的另一个副产品。所有这些因素最终将决定您可以添加的最大并联放大器数量。
审核编辑:符乾江
龙腾半导体SGT MOSFET LSGT085R018在智慧农业无