时间:2020-12-24 11:39
人气:
作者:admin
『模拟电子技术的基础内容』
单相桥式整流滤波电路是“直流电源”系统中常见的、经典的电路,本文侧重于分析其中电容滤波电路的运行过程,详细回顾电容在其中是如何发挥作用的。

图1 电容充放电电路
在开启本文内容之前,我们先来看一下经典的电容试验。
电容充放电试验
图1电路中直流电压源V1=12V,电阻R2=1kΩ,开关S1,电容C1=1μF,电阻R1=1kΩ,
开关S1可以在左右两个电路中来回切换。

图2 电容的充电动态图,来源网络。
毫无疑问,S1闭合左边电路之时,电压源V1向C1充电,直至C1两端电压达到一定值后停止充电,此时:
电容两端电压+电阻R2两端电压=电源V1电压12V。
在仿真电路中,我们可以验证如下:

图3 电容充电过程中两端电压变化曲线
从图3中红色的曲线即为电容两端的电压变化情况,横坐标轴为时间轴,纵坐标轴为电压值。
电容充电曲线以指数规律形式上升,大概3ms后达到最大值,约为3.87V。

图3 电容的放电过程,来源网络
如果此时开关拨向右边电路,那么电容会将自己“体内”满满的电荷流向电阻R1。这个流动过程,叫做放电,见图3。
进行定量分析。
『分析的过程中,使用了基尔霍夫定律和齐次微分方程的解法,这些在《电路》和《高等数学》都有介绍』

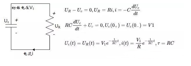
图4 RC零输入响应
推导过程可以不用太在意,关键看下我们的结论的,见图4。
电阻两端的电压UR(t)和iR(t)随着时间都是按照指数规律变化。同时,根据指数函数的性质,当时间为0时,函数取最大值V1和V1/R;
当时间趋向无穷大时,得到电压和电流值为0。
令τ=RC
指数函数变化的快慢,与τ有关,τ值越大,函数变化越平缓,放电速度越慢;
τ值越小,函数变化越陡峭,放电速度越快。

图5 不同τ的指数曲线
我们可以通过图5看出,指数函数与τ取值的关系。
当τ=1ms时,为图5中的绿色曲线;
当τ=2ms时,为图5中的红色曲线;
当τ=10ms时候,为图5中的黑色曲线;
我们通常认为当时间为3~5个τ的时候,电压与电流值已经基本为0了,此时认为放电结束。
加上示波器,我们可以看下实际的波形。

图6 电容放电曲线
波形的确是按照指数规律下降,我们看到从419ms电压开始下降,423ms差不多电压趋于平缓。
『小结』
电容两端电压不能突变,在并联电路中可以起到稳定电压的作用;
如果你的电压没有我电容的高,那么我就对你充电,直至和我保持一样;
如果你的电压比我高,那你就对我充电,直至我的电压和你保持一致;
流过电容的电流与电容两端电压的变化率成正比,Ic=CdUc/dt。
电压变化越快,电流越大。
电容滤波电路

图7 单相桥式整流电容滤波电路及输出波形,来源网络
图7的电路,我们应该很熟悉,因为在前面单独一文说过整流电路:
交流变直流,二极管整流电路是如何工作的?
这里的变化就是加了一个电容C。
如果不加电容C,输出uo的波形就是图7(b)的半波正弦(虚线)。那么现在电容C过来,它必然要发挥作用。
没错,就是保持电压的作用。

图8 实际的电压输出波形
图8中红色曲线为副边电压u2的波形,绿色曲线为电路输出电压uo波形。
㈠当副边电压u2处于正弦波形正半周的时候,二极管D1、D3导通,此时对电容C先充电,如图7(b)中的绿色曲线。(理想情况下,变压器副边无损耗,二极管导通电压为零)
㈡随之时间的推进,当副边电压u2上升到峰值后开始下降,电容通过负载电阻RL放电,其电压uc也开始下降。
㈢继续,当输入电压u2在某一时刻开始小于电容C电压的时候(图8中绿色与红色曲线的交点),此时二极管D1、D3反向截止。电容C继续通过RL放电,如图(b)中的绿色折线。
㈣当u2的负半周幅度值变化到恰好大于uc时,D2、D4因正向电压变为导通状态,u2再次对C充电,uc上升到u2的峰值后又开始下降;下降到一定数值时D2、D4变为截止,C对RL放电,按指数规律下降;放电到一定数值时,D1、D3变为导通,重复上述过程。
具体的动态过程可以看图7(b)。
这个波形看起来,不像单相桥式整流电路那么“震荡”,交流成分明显减少。
我们也知道,电容通交流(高频),阻直流(低频),所以一旦和负载RL并联,必然交流高频部分直接被电容过滤掉,所以这个电容也叫作旁路电容,因为它在“旁边”。

图9 仿真电路
『主要特点』
㈠减少输出直流电压的脉动程度,提高了输出电压的平均值。
㈡电容放电时,回路电阻RL,放电时间常数为RLC,通常远大于充电的时间常数。电容越大,负载电阻越大,滤波后输出电压越平滑,并且其平均值越大。
㈢通过计算(将图9近似用折线替代),电容滤波电路输出电压的平均值可以达到1.2U2,电容承受的电压为√2U2,考虑到电网电压存在10%的波动,因此电容的耐压值应大于1.1√2U2。

图10 不同RlC的输出波形比较
㈣在实际的电路中,选择的滤波电容的容量一般需要满足RLC=3~5T/2,其中T为电网电压的周期(如果电网电压为50Hz,那么周期T为20ms)
㈤输出电压随着负载电流增大(负载电阻变小)而下降——带负载的能力低。适用于输出电压高,负载小且变化少的场合。
㈥如果负载电阻无穷大,开路,电容不放电,输出电压√2U。

图11 电容滤波电路中二极管的电流和导通角
我们知道,如果没有加这个电容,那么桥式整流电路的中的二极管均有半个周期处于导通状态,称其导通角为θ等于π。
但是,一旦加上了滤波电容C,只有在给电容充电的时候,二极管才导通,所以每只二极管的导通角都要小于π了。
RLC如果取值较大,那么电容放电折线越“平缓”,滤波效果越好,电容充电时间也就越短,所以导通角θ越小。
观察图11(b),输出电流为io,iD电流为整流二极管电流。根据基尔霍夫定律,我们可以认为iD=io+iC。
由于导通时间很短,所以要在短时间内产生io,必须电容充电电流iC很大(电容两端电压变化率很大),所以机会造成iD短时间内很大。

图12 电容滤波电路的电流值分析
通过图12,我们可以看出实际的电流波形,比理想的图11要复杂的多。二极管的冲击电流非常大。
电感滤波
在大电流的负载情况下,由于负载电阻RL很小,如果使用了电容滤波电路,想要保持“平滑”的电压输出效果,必然要提高电容C,因此电容容量需要很大,这个时候电容器和整流管都不太好选择。
此时可以采用电感滤波电路。

图13 电感滤波电路
电感的感抗随着交流频率的增大而增大,它就阻碍了交流成分的通过。
同时电感线圈上,利用它的感应电动势eL=-Ldi/dt,阻碍电流的变化,减少了对二极管的冲击作用,频率越高,感抗越大, 滤波效果就越好。
同时,由于滤波电感电动势的作用,二极管的电流不可能像图12那样尖峰突变,必然要平缓很多。
所以电感滤波的二极管的导通角可以等于π,减少了二极管的冲击电流,延长使用寿命。
总结
实际的工作中,通常采用复式滤波电路,结合电容和电感的特点进行组合,包括LC滤波电路、LCπ型滤波电路,RCπ型滤波电路。
各种滤波电路主要考虑三个参数,分别为脉动系数、二极管导通角、带负载能力。具体的内容不再一一介绍,感兴趣的同学可以自行查阅相关资料哦。
编辑:hfy
龙腾半导体SGT MOSFET LSGT085R018在智慧农业无