时间:2018-03-28 09:18
人气:
作者:admin
在本文中,我们将讨论抖动传递及其性能,以及相位噪声测量技术的局限性。
时钟抖动和边沿速率
图1显示了由一个通用公式表述的三种波形。该公式包括相位噪声项“φ(t)”和幅度噪声项“λ(t)。对评估的三个频率来说,φ(t)=0和λ(t)是个伪随机函数,该函数为每个波形都产生噪声的恒定包络。图1显示三个波形中每一波形的Vth穿越分解视图,以及Vth可被穿越的位置分布。

图1:时间抖动引入与信号边缘速率
图1强调了噪声源而不是固有抖动会引起定时抖动错误。更快的边沿速率减少了时钟信号上的电压噪声对时钟抖动性能的影响。这种现象并非是仅属于时钟信号的特点。在接收时钟信号或测量抖动性能的设备内,这种机理也表现得很明显。
时钟性能测量
工程师常常会评估无意义的实验室结果;而时钟性能测量的问题尤其严重。例如,你可使用示波器和相位噪声分析仪(PNA)测量随机抖动。不过,结果有时会大相径庭。为了更好地理解这些结果,图2描述了一些实验过程,其结果如表1所示。

图2:随机抖动测量实验

表1:来自图2的随机抖动测量实验的结果。
例如,ONET1191P是一个为高速应用优化了的限幅放大器(LA)。我们用这个放大器来缩短时钟信号的上升和下降时间,在本例,是从约200ps缩短至35ps。
请注意,该LA的使用,在示波器和PNA上得到不同的结果。PNA的结果与预期的相同(例如,增加了LA的同时也增加了噪声)。但LA显著改善了来自示波器的结果。
结论
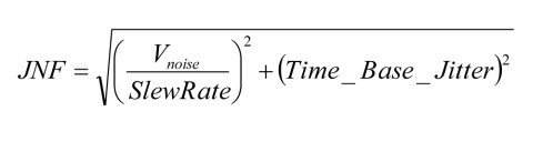
上述结果与图1所示的边沿速率和抖动传递机制相关。噪声源来自示波器的前端,而不是时钟信号包含的噪声成分。公式1是示波器抖动噪底的一种表述。它包括示波器时基的抖动、示波器前端的噪声(Vnoise)以及被测信号的压摆率。

龙腾半导体SGT MOSFET LSGT085R018在智慧农业无