时间:2023-08-30 11:48
人气:
作者:admin
原文来自:云深之无迹


来自ST

电源电压(VCC) – 运算放大器正常工作时,两个电源引脚之间的电压差。

静态电流/供电电流(ICC) – 封装中的每个运算放大器运行所需的电源电流。
输入偏移电压(VIO) – 使输出处于电源电压的中间范围的+和-引脚之间的差分输入电压。它源自内部晶体管的匹配。输入偏置电流(IIB) – 流经运算放大器输入的电流。由于运算放大器的偏置要求和正常工作泄漏,极少量的电流(pA或nA范围,取决于技术)会流经其输入。当大电阻或具有较高输出阻抗的源连接到运算放大器输入端时,这可能会引起问题。这会导致运算放大器的输入端出现相关压降,从而导致误差。
增益带宽积(GBP或GBW) – 运算放大器增益与带宽的乘积。它在20 dB的增益下测得。为小信号而定义。
电压转换率(SR) – 运算放大器改变其输出电压的速度。运算放大器的输出变化率受电压转换率值限制。如果要放大的信号过快,则会导致失真。
轨到轨输入 – 具有高轨输入的运算放大器能够处理高达Vcc+的输入信号,而低轨输入则能够处理低至Vcc-的信号。轨到轨输入运算放大器可处理从Vcc-到Vcc+的输入信号。
轨到轨输出 – 运算放大器将其输出驱动到非常靠近电源干线的能力。
噪声水平 – 即使未在其输入端施加任何信号,运算放大器也会在输出端产生随机电压。这种噪声来自热噪声(白噪声)或1/f噪声,该噪声也被称为闪烁噪声。对于具有高增益或高带宽的应用,噪声水平可能会变得很高。
容性负载 – 可能导致运算放大器变成振荡器。运算放大器的输出电阻与容性负载有关,该负载会在电路传递函数中产生额外的极点。通过伯德图可清楚地查看电路在哪种运行条件下会变得不稳定。
零漂移 – 斩波运算放大器旨在对其VIO误差进行“自我校正”,以及随着温度与时间的变化而产生的误差。得益于其设计,零漂移运算放大器的VIO在微伏范围内,每摄氏度的漂移也在类似的“毫微伏”范围内。零漂移运算放大器几乎无1/f噪声,而且,随着时间的推移,其“老化”可以忽略不计。
关闭 – 运算放大器关闭。通常用于在应用不运行或不需要放大时降低电路待机电流。通常由专用运算放大器引脚控制。
应变计 – 用于测量物体变形的传感器。
RTD传感器 – 电阻温度检测器。许多RTD传感器由缠绕在陶瓷/玻璃承载芯上的细金属丝制成。
热电偶 – 不同类别的金属之间的每次过渡都会产生微小的热电电压。这一效应被用于某些温度传感器。
低压信号放大
放大低压信号时,肯定需要高精度运算放大器,因为输入偏移电压会直接影响测量。另一方面,大多数低压信号来自低阻抗源,因此,输入偏置电流并不重要。差分放大器或仪表放大器采用典型电路。电流检测是一种典型应用,该应用通常需要低轨或高轨功能,并可能需要具有一定转换率,以跟踪PWM。其他应用包括惠斯登电桥电路,如应变计、RTD传感器或电阻传感器。在此类应用中,大多数情况下不需要轨到轨输入,但您可能需要低噪声设备。这同样适用于热电偶。
小电流放大
提供小电流的传感器将需要具有低输入偏置电流的运算放大器。所有这些应用均使用输入偏移电压通常并不重要的跨阻抗放大器。典型应用包括用于通信、光幕、烟雾探测器、电化学气体传感器或光学心率监测器的光电二极管电流检测电路。在这种情况下,该器件通常由电池供电,因此功耗可能很重要,或者该器件需要快速运行,并可能需要高电压转换率。
ADC缓冲
将模拟信号接入ADC可能会很棘手,因为ADC需要在短时间内获得高电流,以便为输入电容充电。运算放大器输出端通常驶入一个额外的电容,这可能会引起稳定性问题,并可能需要使用补偿技术。无论如何,运算放大器引起的误差应小于ADC的一个LSB。此外,运算放大器可用作基本的混叠滤波器。



公众号【工程师看海】后台回复[LDO],领取LDO基础知识


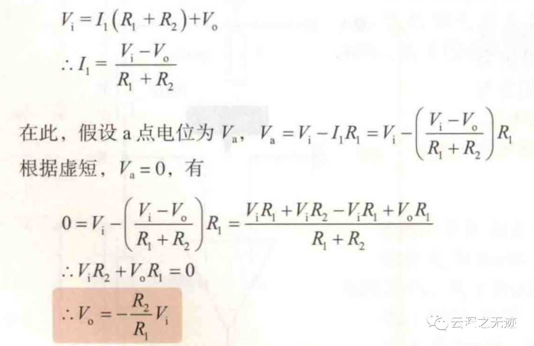
反相放大器

为了形成稳定的电路

虽然输入端之间的电压为0V,但是运算放大器的输入阻抗非常大,所以输入这里既无电压也无电流。虚短作用不需要电流,就可以将输入电压的变换反映到输出端。

X点电压因为虚短作用为0V(GND电压),将X点看作是支点。


阻抗大,可以认为流入电阻R1的电流全部流入反馈电阻R2

用于即使输出被反相也没有什么问题的情况

LM358



同相放大器


公众号【工程师看海】后台回复[LDO],领取LDO基础知识
反相放大器,同相放大器


加法器


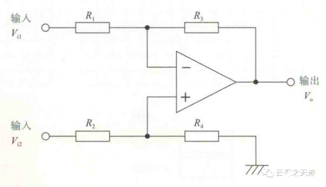
减法器:V1-V2=output

一个关于降噪的音频应用


电压跟随器

一个测试的电路









通常需要对地进行补偿。接地可以从零偏移到提供。一个更安静的信号参考点,或抵消“零”,以允许单极信号范围表示正负值。在嘈杂的环境中,例如那些有数字开关、开关电源或外部产生噪声的环境中,地面可能不是高精度系统中参考信号的理想场所。
通常,现实世界的信号,如温度或压力,可能会产生由极性变化表示的电压。在单电源系统中,不能允许信号输入到地下,因此必须对信号进行偏移以适应极性的变化。
在AMP04上,提供了一个参考输入引脚来允许输入范围的偏移。通过包含这个参考输入,增益方程可以更准确地表示。VouT= (VIN+-VIN-) x增益+ VREF
输入屏蔽驱动器在嘈杂的工业环境中,来自远程换能器的高阻抗源和长电缆通常会经历与输入耦合的大量噪声。通过屏蔽电缆运行输入信号可以最小化杂散电容误差和外部源的噪声耦合。电缆屏蔽层通常在模拟输入端接地,然而,通过在与输入端电压相等的电位下用缓冲放大器驱动屏蔽层,可以改善动态噪声抑制并降低有效电缆电容。驱动屏蔽很容易实现与AMP04。对简化原理图的检查表明,AMP04增益设置电阻引脚的电位精确地跟随输入。

如图所示,通过双单电源运放(如OP213)缓冲这些引脚的电位,可以很容易地实现屏蔽驱动器。另外,使用单端电源或双绞线电缆的应用可以驱动单个屏蔽。为了尽量减少由于这种额外电路造成的误差,所有组件和布线都应靠近AMP04,并应注意接地和旁路技术。
原文来自:云深之无迹
参考输入VREr输入用于设置系统接地。
对于双电源操作,它可以连接到地,以提供零电压输出与零电压差分输入。
在单电源系统中,它既可以连接到负电源,也可以连接到电源之间的伪地。
在任何情况下,REF输入必须以低阻抗驱动。


噪声过滤与大多数以前的仪器放大器不同,输出级的反相输入(引脚8)是可访问的。通过在AMP04的反馈路径上放置一个电容.图显示了一个10hz的低通滤波器,


单电源中的偏置零在单电源系统中消除失调是困难的,因为调整是为了达到零电压。在零电压输出时,输出处于饱和状态(到负轨),输出电压与正常偏移误差无法区分。因此,必须谨慎使用图9中的偏移置零电路。
首先,应调整电位器,使输出向正方向摆动;然后在相反的方向调整它,使输出向地摆动,直到输出停止变化。

精密单电源RTD放大器
低功率精度单电源RTD放大器显示了一个线性化的RTD放大器,由单个5伏电源供电。然而,该电路在不修改的情况下可以工作到36伏。RTD由100 μA恒定电流激发,由放大器a (OP295)调节。
用于产生恒流的0.202伏参考电压从2.500伏参考电压中分离出来。AMP04将桥输出放大到10 mV/°C的输出系数。RTD通过将一部分信号馈送回参考电路来线性化,随着温度的升高而增加参考电压。
当校准得当时,RTD的非线性误差将被消除。要进行校准,要么将RTD浸入零度冰浴中,要么替换一个精确的100 Ω电阻来代替RTD。
然后调整电桥平衡电位器R3为0伏输出。请注意,0伏输出也是单电源供电的AMP04的负输出摆幅
原文来自:云深之无迹
极限。因此,一定要调整R3,首先使输出变为正摆,然后再回调,直到输出停止负摆。接下来,设置线性ADJ电位器到中频。代替一个精确的247.04 Ω电阻(相当于400°C的温度)代替RTD。调整满量程电位器为4000伏输出。最后替换一个175.84 Ω电阻(相当于200°C的温度),并调整线性ADJ电位器在输出处为2.000伏。根据需要重复全尺寸和半尺寸的调整。经过适当校准,电路在温度测量范围内的精度优于±0.5°C从0°C到400°C。
如果看到这里,请点赞、收藏、分享三连!
限时免费扫码进群,交流更多行业技术

推荐阅读▼
电池、电源
硬件文章精选
华为海思软硬件开发资料
审核编辑 黄宇