时间:2023-08-30 15:25
人气:
作者:admin
充电原理展示:
如果把电容器理想地看成两个正对的且互不导通的导电极板,且不考虑两极板间的绝缘介质,那么电容器的充电和放电过程可以形象地理解如下。
第一步,在电容器的两极加载直流电压后,因为两块导电极板上的自由电子在外电场的作用下发生偏移或者移动,电容器的内部产生一个与外电场相反的内电场,经过片刻这两个方向相反的电场达到平衡,如图2-2所示。
待内外电场平衡后切断直流电源,此时相当于外电场消失,但是内电场依然存在,电容器充电完成,如图2-3所示。

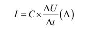
电容器的线性充电电流公式如下:

I为理想化充电电流,C为容值,∆U/∆t为经过电容器的电压变化斜率。
放电原理展示:
电容器充电完成也就相当于电容器储存了电荷。也可以理解为电容器其中一极因聚集了自由电子显负,另一极因失去自由电子显正,并且其中一极聚集的电荷数量等于另外一极失去电荷的数量,此时如果用一根导线将电容器的两极导通,自由电子就发生移动,这就是所谓的“放电”,在内电场作用下,放电电流由正极流向负极,直至电场为零,如图2-4所示。

电容器完成放电后,电容器两极间的内电场消失,其中一极获得的电荷数量等于另一极释放的电荷数量,此时,电极作为导体本身达到内部电荷平衡,如图2-5所示。

上述电容器充放电是假设在理想状态下,实际上这种理想化的电容器是不存在的,即使两极间是真空状态,也存在介电常数0影响,一般情况下电容器的两极间是有绝缘介质的,所以放电过程比上述要迟缓和复杂,后续章节讲到的介质吸收和迟滞等物理现象也跟绝缘介质特性有关。