时间:2023-08-31 14:14
人气:
作者:admin
功率半导体自20世纪50年代开始发展起来,至今形成以二极管、晶闸管、MOSFET、IGBT等为代表的多世代产品体系。新技术、新产品的诞生拓宽了原有产品和技术的应用范围,适应更多终端产品的需求,MOSFET同样衍生出GaN,SiC新型材料的产品去覆盖更高功率密度、更高电压、以及高开关速度的应用场景。MOSFET呈现多世代并存的特点。本文基于规格书的参数去计算MOSFET实际应用中的损耗,帮助工程师做设计选型参考。
通常在开关模式下运行的MOSFET的功率损耗 (Pt) 可分为三种:
1. 导通损耗 (Pc)
2. 开关损耗 (Psw)
3. 泄漏损失 (Pb),通常被忽略
因此,在开关模式运行MOSFET损耗:

导通损耗Pc
1. 导通损耗Pc和体内二极管损耗Pcd计算
功率MOSFET中的损耗可以用漏极-源极导通电阻 (RDSon) 的MOSFET近似值计算:

UDS和ID分别是漏源电压和漏电流
典型RDSon可从数据手册图中读取,如图1所示,其中ID为MOSFET导通状态电流

图1 漏源电阻与漏电流的函数关系(TJ = 25°C时)
因此通过开关周期内瞬时功率损耗的积分可以给出MOSFET传

其中,IDrms为MOSFET导通状态电流的有效值
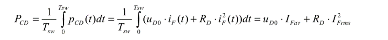
2. 二极管导通损耗
反并联二极管的传导损耗可以使用二极管近似来估算,近似具有代表二极管导通状态零电流电压的DC电压源(uD0)和二极管导通状态电阻(RD)的串联连接,uD是二极管两端的电压,如果通过二极管的电流:

这些参数可以从图2所示的MOSFET数据手册的图表中读取。为了考虑参数变化,从而进行保守计算,从图表中读取的UD0值必须用(UDmax/UDtyp)进行缩放。这些精确值可以从数据表中读取,在实际计算时,也可以使用典型的安全裕度值(10%-20%)。
如果平均二极管电流为IFav,均方根二极管电流为IFrms,则开关周期内的平均二极管导通损耗(Tsw=1/fsw)为:


图2 二极管电阻与二极管电流的关系
3. RDSon - 考虑温度变化
图1所示的RDSon指的是典型值,RDSon max (25°C) 为25°C时RDSon的最大值一般是在25°C温度下获得的,但RDSon取值需要考虑温度变化。

图3 从数据手册中读取RDSon max (25°C)

图4 从数据手册中读取TJ/RDSon
开关损耗Psw
用于检查MOSFET开关损耗的电路如图5所示。它是一个单象限斩波器,为感性负载供电。MOSFET由驱动器电路驱动,在其输出端提供电压UDr。MOSFET内部二极管用作续流二极管。在大多数应用中,整个拓扑由一个或多个基于MOSFET的半桥组成。如三相交流电机驱动、DC电机驱动、同步DC/DC转换器等。如果使用外部续流二极管,可以取自二极管数据手册,计算仍然有效。

图5 带感性负载的MOSFET斩波器
对于功率损耗的计算,MOSFET开关过程的线性近似就足够了,如后所述,这是最差情况的计算。功率MOSFET的理想开关过程如图6所示。最上面的部分(A)表示栅极电压(uGS)和电流(iG);下一个(B)显示漏源电压(uDS)和漏电流(iD),未考虑续流二极管的反向恢复。C部分给出了功率损耗的定性概述,而D部分显示了反向恢复对开关损耗的影响。
1. 开通瞬态
驱动器电路将其状态从0V变为UDr,栅极电压上升至阈值电压(UGS(th)),时间常数由栅极电阻和等效MOSFET输入电容定义(Ciss=CGD+CGS)。在栅极电压达到UGS(th)之前,输出不会改变。
达到UGS(th)后,漏极电流上升并接管负载电流。零与IDon(由应用定义)之间的电流上升时间(tri)的最差情况值可以从MOSFET数据手册中读取,如图7所示。在电流上升期间,续流二极管仍然导通,漏源电压为UDD。
为了使二极管关断,必须移除在其中的所有少数载流子(见图6)。这种反向恢复电流必须被MOSFET吸收,导致额外的功率损耗。功率损耗计算中使用的反向恢复电荷(Qrr)和持续时间(trr)的最差情况值可以从MOSFET数据手册中读取(见图8)。

图6 功率MOSFET的开关瞬态

图7 从数据手册中读取电流上升时间(红色)和下降时间(蓝色)

图8 从数据手册中读取反向恢复时间(红色)和电荷(蓝色)
二极管关断后,漏源电压从uDS=UDD下降到其导通状态值uDS=RDSon*Ion。发生米勒效应,栅极-源极电压被箝位在uGS=U(平台)(见图9)。漏极-源极电压的斜率由流经栅极-漏极电容的栅极电流决定(CGD=Crss)。为了以合理的精度计算电压下降时间(tfu),必须考虑栅极-漏极电容的非线性。图10示出了栅极-漏极电容对漏极-源极电压的典型依赖关系。这种非线性不容易结合到计算中。这就是使用两点近似的原因。假设如果漏极-源极电压在uDS [UDD/2,UDD范围内,则栅极-漏极电容的值为CGD1= CGD(UDD)。另一方面,如果漏极-源极电压在uDS [0V, UDD/2范围内,则栅极-漏极电容值为CGD2= CGD(RDSon*Ion)。确定这些电容的方法如图10所示。在图6B中用虚线示出了下降时间期间的漏极-源极电压,考虑两点近似。这种近似仅用于确定电压下降时间(以及关断期间的上升时间),并且假设漏极-源极电压具有线性形式(图6B中的实线),因此很明显这种分析呈现了开关损耗计算的最坏情况。
tfu期间的栅极电流可计算如下:

可以将电压下降时间计算为通过栅极电流和电容CGD1和CGD2定义的下降时间的中值。

其中:


图9 从数据手册中读取平台电压

图10 栅漏电容的两点表示
2. 关断瞬态
关断过程对应于相反顺序的MOSFET的接通过程,将不详细讨论。
两个重要的区别是:
无反向恢复
栅极电流和电压上升时间可以表示为:


3. 开关能量和损耗
根据前面的考虑,功率MOSFET中最差情况下的导通能量损耗(EonM)可以计算为的导通能量(EonMi)和续流二极管反向恢复引起的导通能量(EonMrr)之和:

反向恢复电流的峰值可计算如下:

二极管中的导通能量主要由反向恢复能量(EonD)组成:

其中,UDrr是反向恢复期间二极管两端的电压。对于最差情况的计算,该电压可以近似为电源电压(UDrr= UDD)。
MOSFET的关断能量损耗可以用类似方式计算。二极管的关断损耗通常被忽略(EoffD=0),因此:

MOSFET和二极管的开关损耗是开关能量和开关频率(fsw)的乘积:

4. 损失平衡
MOSFET和续流二极管的功率损耗可以表示为导通损耗和开关损耗之和,即:

编辑:黄飞