时间:2023-08-28 16:17
人气:
作者:admin
整流电路AC/DC变换应用非常广泛,其中二极管整流在电机驱动中是主流的方案,而且功率范围很广,所以了解二极管整流工程设计非常重要。
整流电路AC/DC变换应用非常广泛,比DC/AC逆变器功率范围更广,数量更多。为了降低谐波电流,有源PFC应用越来越广泛,但二极管整流在电机驱动中还是主流的方案,而且功率范围很广,所以了解二极管整流工程设计非常重要。
整流电路是电力电子课程的基础内容,占篇幅也很大,但是在书本上,工程上的重要基础问题没有细讲或没有涉及,尤其重要的整流电容滤波负载往往被忽略了,以至于使得整流电路设计在中小功率系统设计中也没有得到足够重视,直接影响系统成本和可靠性。
要设计好整流电路,要回答两个主要问题,二极管上的电流和损耗。
二极管的损耗
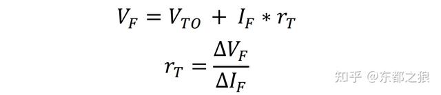
以带三相整流桥的100A 1200V三相逆变桥 FP100R12W3T7_B11为例,整流二极管的IF=f(VF)特性如图所示,表达式为:

从图表上读得:
VTO=0.73V rT=0.00272ohm @25oC
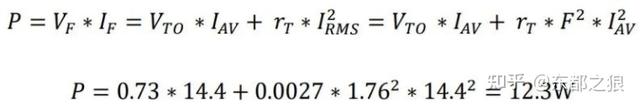
二极管整流桥输入是交流电流,但单个二极管上流过的是直流电流,那么,二极管上的损耗,即二极管上的平均功率为:

在公式中,电流的量化涉及到二极管上的电流平均值IAV和电流有效值IRMS。在二极管上流过的是直流电流,我们计算的是直流下的平均功耗(功率),所以功耗(功率)第一个部分是直流电压平均值与直流平均电流的积,这里需要知道流过二极管的平均电流;而电阻性的损耗(功率)是电流有效值的平方与电阻值的积,这里需要知道流过二极管电流有效值。
为了简化工程计算,我们对于各种整流电路的不同负载波形给出了波形系数,即电流有效值与电流平均值之比。在实际计算中我们只要知道平均值电流就可以了。

那么:

在实际整流桥设计中,要考虑二极管的损耗,也要关注其峰值电流,在小电感的电路中,峰值电流θ角小,电流峰值幅度很大。
下面以单相整流和三相整流电容滤波负载为例,仿真分析电流及波形系数。
实例一:类家用空调单相整流电路
以一个类空调的整流电路为例,电容取值1500uf,电感3.5mH放在交流测,负载电阻121欧,平均功率在700瓦水平。为了说明问题同时也分析了轻载情况,负载电阻1210欧,平均功率在70瓦水平。

Ln=3.5mH时的二极管的电流和电容电压PLECS仿真波形如下图:二极管导通初期,红色虚线以左,其电流和电容电流共同给电阻负载供电,到交流电压足够高电流足够大时才给电容充电,电容电压上升。
在仿真中我们可以获得电流值,从而算得波形系数,在空调典型设计中电感为3.5mH时,波形系数为2.6。
同时探讨在不考虑电网阻抗情况下,分析不同的输入电感时的峰值电流。电感从0.2mH到5mH时,单相全桥整流的波形系数为3.8-2.5之间。
设计中要考虑平均值电流与峰值电流之比,在0.2mH小电感情况下,峰值电流高达22A,是平均值电流的18倍,这种稳态工况对二极管的应力也非常大,谐波电流也大,对电网非常不友好,远不能满足GB17625.1低压电气及电子设备发出的谐波电流限值(设备每相输入电流≤16A)要求。
这在目前工业通用变频器设计中要考虑,以保证带单相整流桥的IGBT PIM模块的安全工作。
案例二:三相通用变频器整流电路
案例以英飞凌参考设计REF-22K-GPD-INV-EASY3B为例做PLECS仿真分析。该参考设计额定功率为22kW,是为泵、风扇、压缩机、传送带等应用开发的通用变频器。该设计具有典型电机驱动器的外观和内部构成,包括EMI滤波器、预充电电路和电容器组、隔离电源、IGBT模块(EasyPIM 3B IGBT模块FP100R12W3T7_B11)、控制器和带风扇的散热器。它可以直接在三相电网上运行。
变频器主要参数
器件参数
三相共模电感:
标称电感L0=1.1mH,1.6mohm,62A,
直径98mm,高度54mm,
型号为TDK B82748S6623N030,实际考虑直流偏磁(IR=62A,<10%),仿真时用1mH。

直流滤波电容:
电容为2200uF/450V型号为TDK B43512A5228M067,六个电容三并两串联,电容组电容量为3300uF。
IGBT模块:
EasyPIM 3B IGBT模块FP100R12W3T7_B11是带三相整流桥,制动单元和三相逆变器的模块,逆变器采用100A,1200V IGBT7芯片。

其中的整流二极管每个芯片的最大正向有效值电流 IFRMSM=100A
正向浪涌电流880A@tp=10ms
VTO=0.73V rT=0.00272ohm@25oC
仿真原理图

仿真结果可以看出,在通用变频器的典型设计中,三相整流桥中二极管的电流波形系数并不是太大,取值在2左右,只有在没有电感情况下,如假设线路电感为0.01mH时,电流波形系数才会超过3,这时二极管上损耗将显著增加。
利用负载平均值电流计算二极管损耗
22kW的变频器的负载仿真中用电阻代替,取值11.5欧姆,这样负载的平均值电流为43.2A,流过二极管的电流为14.4A。因为仿真时已经读得二极管的有效值电流25.3A,这样波形系数为1.76。代入下面公式,算出二极管损耗为12.3W,与仿真结果一致。

仿真波形供参考
结论
1 在合理的设计范围,单相整流电容滤波电路的电流波形系数为3左右,而三相整流电容滤波电路的电流电流波形系数为2左右。
2 在线路低阻抗和输入电感量比较小时,二极管的峰值电流影响需要考虑。
3 影响整流电容滤波电路波形系数因数很多,建议采用PLECS做仿真,以获得二极管的损耗和峰值电流。