时间:2023-04-14 09:18
人气:
作者:admin
DC/DC转换器中最令人困惑的技术规格就是它的静态电流,或者说IQ。其中一个原因是每个厂商都使用不同的专业术语和定义来指定同一件实物——至少对于那些不熟悉开关稳压器详细运行的人是这样的。
在这两部分系列的第一部分,我将重点谈一谈输入电源所需要的,流入降压稳压器输入电压 (VIN)引脚的电流。当研读数据表时(你始终必须阅读数据表!),最好关注输入电流的条件,而不要被专业术语搞糊涂。我们来看一看普通用户将会感兴趣的3个最重要的电源电流。
“关断电流”通常是指稳压器关闭时测得的电源电流。在这些情况下,标称输入电压存在,不论使能引脚关断转换器所需要的电压是多少,稳压器的输出均为0V。这看起来似乎有点儿奇怪,当稳压器关闭时仍旧需要电流,而事实上,很多转换器在关闭时只牵引很少量的泄漏电流。
然而,某些稳压器需要在关断模式中监视输入电压或精密使能输入。这些功能需要有限数量的偏置电流来为内部电路供电——当用电池为稳压器供电时(比如说在汽车或便携式应用中),这个参数就变得很重要。这个关断电流将是从输入电源牵引的最小电流。
更令人感到困惑的一个术语就是“非开关式”电流。这是指稳压器被启用,但是又未产生输出电压时的输入电源电流。非开关式电流通常在开环路中测量,此时反馈引脚上的电压足够高,可以阻止稳压器开关,从而不产生输出电压。
你也许会问“我为什么要关心稳压器接通,而又不产生一个有用输出时牵引的电流呢?”简单说来,你不应该关心这个,因为稳压器不会在这个情况下被使用。不过,至少有两个充分的理由使这个技术规格出现在数据表中。首先,当稳压器处于已知状态中时,非开关式电流可以很好地测量内部电路的健康状态,并且在集成电路(IC)的生产环境中可以被轻松测量。其次(也是更加重要的一点),这个电流是稳压器在无负载运转时所使用总体电源电流的一部分。
一个更加有用的电源电流技术规格是无负载时所需要的工作电流。在这个情况下,转换器调节输出电压,不过负载电流为零。很多系统需要在待机状态下有一个稳定电压,而在这个情况下,你需要了解输入电源所需要的电流大小。目前,大多数稳压器在数据表中都会指明这个电流值。然而,请仔细确认工作条件,以确保所列出的电流值实际上是无负载工作电流。
很多DC/DC转换器具有一个为转换器内部电路供电的内部低压降稳压器 (LDO)。在目前的稳压器中,LDO的输入通常由这个转换器的一个外部引脚提供。它通常被称为“偏置引脚”,不过,请先查看数据表,以确保转换器上有这个引脚。当这个输入被连接至稳压器的输出上时,这个偏置电流作为转换器输出上的一个额外负载。与其它所有负载一样,这个负载按照输入电压与输出电压之间的比率向下转换。由于它减少了输入上的电流,并因此提高了效率,所以一个首选的连接方式。
现在让我们再回到无负载输入电流。你有时在数据表中找不到这个输入电流,或者它未在你所需要的条件下被指定。在这个情况下,你可以使用方程式1来估算出一个降压稳压器的无负载输入电流:

由于这个方程式没有将转换器中的损耗算在内,所以它给出的是一个最佳情况下的估算值。第一个被称为IQ 的数据项是我在上一部分中谈到的非开关式静态电流。下一个数据项,IEN 是进入稳压器使能输入的电流。很多转换器需要一定数量的偏置电流流入使能输入。如果使能引脚被连接至输入电源,以接通稳压器的话,那么你必须将这个电流考虑在内;否则的话,这个值为零。数据项IDIV 是反馈分频器内的电流,使用方程式2,可以很容易地计算出这个值:

数据项IB 代表流入我刚刚谈到的偏置输入的电流。我们以3.5V至36V,3A同步降压转换器SIMPLE SWITCHER® LM43603为例。这个数据表中有以下这些典型值(表1)。

表1:LM43603数据表
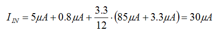
如果你正在将一个12V输入转换为一个3.3V输出,并且反馈分频器的总电阻为1MΩ的话,方程式1和2可给出以下的无负载输入电流值:

需要注意的一点是,对于LM43603来说,如表1中所示,这个数据表中所表示的是一个典型条件下的无负载输入电流。
我计算出的30µA电流值有点不同,不过这个值已经十分接近粗略估算值了。
这些方程式告诉你无负载输入电流取决于输入电压、输出电压和其它“静态”电流。你会发现,输入电流会随着输出电压的增加和输入电压的减小而变大。所以,最好的做法就是使用方程式来估算出无负载输入电流,然后测量真实应用条件下的实际值。
你还可以使用效率曲线来计算DC/DC转换器的输入电流,不过这个电流值不是无负载情况下的电流值。理论上,无负载时的效率为零,所以,你必须使用我在本文中介绍的方法估算出无负载电源电流。在任何其它的负载条件下,你可以使用数据表中的效率曲线,连同方程式3来完成计算:

在这里,η是所需条件下的效率值。
以SIMPLE SWITCHER LM22670 3A降压稳压器的数据表为例,负载为1.5A,输入电压和输出电压分别为5.5V和3.3V情况下的效率大约为91%。这使你的输入电流大约为:

使用和估算数据表中找到的输入电流并不难,前提是必须确保你看到的值适用于特定的应用条件。
审核编辑:郭婷
下一篇:非同小可:如何减小稳压器尺寸