时间:2023-04-11 09:06
人气:
作者:admin
电源是现代电子产品必不可缺的模块,现今大多数的通用电源芯片都会提供如下图所示的反馈引脚,便于客户使用反馈电阻实现所需的输出,简化设计并节省调试时间。但是通用化也从根本上制约了转换器的带宽及瞬态响应能力。这种情况下,设计师可以通过使用前馈电容在一定程度上对此进行改善。

本次对前馈补偿进行基本介绍,以方便设计人员选取合适的前馈电容以达到更优秀的产品性能。
前馈电容的影响
常见的可调电源电路如下图所示。

*可调电源电路
A(s)为电源系统的开环增益,为方便讨论我们假定A(s)里已经包含了输出电容、负载等其他因素的影响。
上述电路在不使用前馈电容CF时的输出电压为

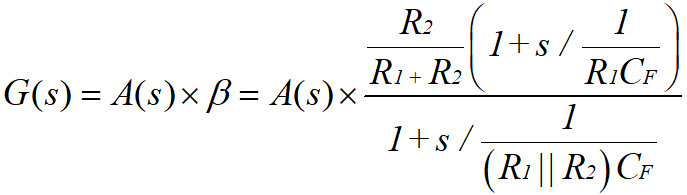
其中,β为反馈系数。其环路增益为

可见,通过调节分压电阻虽然可以改变输出电压OUT,但同时也使得G(s)的带宽变窄。
合理地使用前馈电容可以提升电源的带宽及响应速度,此时环路增益为

由此可得,CF并不改变DC输出,而是为系统引入了一对低频零点fz和高频极点fp。零点会使相位裕量增加,极点则恶化相位裕量,使零点与极点尽量远离才能获得更多的相位裕量。但CF引入的零极点对的距离在对数坐标里是固定的,因为

据此可确定,前馈电容在R1/R2越大时作用越明显,在R1=0时不产生作用。而在R1/R2确定的场合,需要合理地选择前馈电容CF。
前馈电容的选择
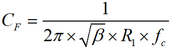
为了兼顾系统的带宽和相位裕量,通过以下步骤可以得到最优化的前馈电容容值
1. 在没有前馈电容的情况下测得系统的穿越频率fc;
2. 选择的前馈电容引入的零点和极点,使其满足

化简为

审核编辑:汤梓红