时间:2023-04-03 09:41
人气:
作者:admin
当DCDC电源输出需要经过一根长线缆才能到达负载时,由于线缆的阻抗产生压降,会导致负载端电压小于实际DCDC输出电压。为保证负载端电压在不同的负载电流下,维持我们希望的固定值,我们可以实时采集负载电流,并根据导线负载,动态提高DCDC电源的输出电压,补偿线缆的压降,使得负载端的电压保持不变。
本文以LMR14030和INA213为例,给出了线损补偿的详细推导。当客户需要更改电路器件(例如使用不同的DCDC或电流采样运放)或更改电路参数(例如要求不同的输出电压)时,也可以利用本文的公式,快速计算确定电路中的其他参数。
在下面例子中,只要确定DCDC、电流采样运放以及负载端所需的电压后,通过最后的式(7)和式(8)即可计算出相关电阻值。

参数说明:
VOUT,为LMR14030的输出电压。
VFB = 0.75V,为DCDC电源的FB引脚电压。
IOUT,为USB输出电流。
VUSB = 5V,为经过USB线缆后到中控面板USB插座上的电压。
VINA,为INA213的输出电压。

,为INA213的REF引脚上电压。
GINA = 50,为INA213的增益。
RSENSE = 0.01Ω,为电流采样电阻。
RDS(on) = 0.073Ω,为TPS2546内部开关限流MOSFET的导通阻抗。如果电路中没有TPS2546,可忽略此项。
RCABLE,为USB线缆中5V线和GND线的电阻总和。
从原理图可得下式:

(1)

(2)

(3)
从式(1),(2),(3)可得:

(4)
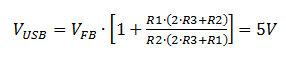
线损补偿的设计目标是:不论IOUT为何值,VUSB都必须保持为5V。所以由式(4)可得:

(5)

(6)
代入相关参数可得

(7)

(8)
先选定R1,R2,R3的其中一个值,即可通过式(7)和式(8)计算另外两个值。
审核编辑:郭婷