时间:2023-03-27 11:34
人气:
作者:admin
本文分享天津力神LiFePO4/石墨18650圆柱电池的加速老化测试报告。电池基本规格参数如下:
| 参数 | 规格 |
| 制造者 | 天津力神 |
| 正极材料 | LixFePO4(LFP) |
| 负极材料 | 石墨 |
| 形状 | 圆柱体 |
| 尺寸 | 18650 |
| 标称容量 | 1600mAh |
| 标称电压 | 3.20V |
| 截止电压 | 2V/3.65V |
| 电池数 | 10 |
负极双面涂布,A、B面涂布长度分别为700mm和648mm,宽度为58.5mm。正极A、B面涂布长度分别为656mm和627mm,宽度为57mm。负极悬垂宽度(overhang)为1.5mm,上下两侧大致相等。负极片的悬垂区域的长度在果冻卷的最内层和最外层分别为44 mm和21 mm,悬垂区域总面积约为97.5mm2,占整个负极面积的0.12%。极片示意图和检测采样位置如图1所示,老化失效后分别在卷芯内部A、中间B和外侧C三个区域采样,圆片采样组装纽扣电池测试电化学性能,矩形采样测试SEM形貌。

图1 18650电池极片展开图及分析采样位置 首先,在循环老化之前对电池进行早期测试,测试项目包括循环一定次数、直流内阻(DCIR)和电化学阻抗测试,获得电池的初始状态,包括容量、内阻和电化学阻抗。如图2所示,通过提高环境温度和充电/放电倍率来加速老化实验,老化包括三种程序: (1)45℃下,0.5C、1C、2C恒流循环测试; (2)根据电动汽车牵引电池的循环寿命要求和测试方法(GB/T 31,484-2015),轻型商用车(LCV)的行驶循环测试; (3)根据GB/T 31,484-2015,乘用车(PV)的行驶循环测试。 45℃下老化测试和25℃容量、直流内阻和电化学阻抗测试交替进行,每循环20次进行1次测试,以跟踪阻抗和容量信息,从电池筛选到老化测试总共耗时15个月。

图2 老化测试和监测交替进行
容量衰减
循环性能如图3所示,由于动态条件下的老化LCV和PV行驶循环测试分别为45%和35%DoD,循环曲线横坐标采用等效循环次数,即累积的放电容量除以电池初始容量。由图可知,LCV和PC循环次数分别达到近700和800,1C寿命接近LCV的两倍。0.5C循环比1C具有更高的的衰减速率。在相对较高的45°温度下,1C循环条件实现了离子浓度和活性之间的平衡,达到最大循环次数。图3b显示了容量保持率与各个循环天数的比率,在前 100 个循环内容量急剧下降至不到 0.02%,LCV条件下衰减率幅度最大,其次是PV条件。与车辆工况相比,恒流工况下的衰减率和波动较小。

图3 不同循环条件下电池的(a)容量保持率,(b)容量损失速度。
阻抗增加
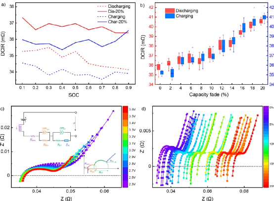
不同SOC下电池的电阻如图4a所示,放电过程的DCIR大于充电的DCIR。在电池老化过程中,在DCIR不断增加,不同SOC下的内阻分布差异逐渐减小(图4b)。电化学阻抗谱通常分为4段,分别对应欧姆电阻,SEI阻抗,电荷转移和扩散过程。欧姆电阻位于EIS曲线与实轴的交点处,是集流体、电极和电解质电阻的总和;第二部分是第一个半圆,涉及SEI的形成、分解和再生,可以通过第一个半圆的跨度来计算;第三部分是第二个半圆,包括电荷转移阻抗和双层电容效应;最后一部分与固相扩散电阻有关。EIS测试结果表明,EIS曲线的形状在特定电压下没有太大差异,随着循环进行,EIS图谱显示出明显的向右偏移。

图4 电池阻抗增加
电极形貌
图5显示了循环失效后的石墨形貌。结果发现颗粒表面沉积不均匀和稀疏的多孔的沉积物。卷芯内部的A区SEI生长更密集、更厚,而卷芯外侧的C区更少。这是由于圆柱形电池结构导致A区机械应力较大,在电化学循环过程中颗粒的体积膨胀和收缩会破坏初始SEI层,使新的电极表面暴露在电解质中并形成新的SEI。该SEI层的反复破裂和形成直接导致不可逆容量,也会增加电极的界面电阻,减少活性材料的表面积。同样,SEI表面在图(b2)和(c2)中存在,并且褶皱不均匀。这是由于高温作用引起的膜溶解和重新形成,因此膜发生了弯曲和凸起的变化并反复生长。

图5 循环失效后的石墨负极形貌 图6显示了电池老化至80%容量后LFP电极的SEM形貌,其中团聚颗粒的直径为10μm。在每种工作条件下,正极颗粒表面变化不大。然而,由于内层的缠绕半径小,在展开和制备过程中会发生电极材料的机械变形,即微裂纹。最严重的裂缝是图6(d1)。

图6 循环失效后的LFP正极形貌
容量损失原因
为了定量描述老化机理,对电极不同位置采样组装半电池并进行了电化学测试实验。如图7(a)所示,实线的数据来自循环开始时的电池电极,代表阴极和阳极电极的实测电位曲线,虚线来自容量衰减到80%后的电池。正负极之间的匹配有两个参数指标,即两个电极之间的容量负载比(LR)和偏移OFS,OFS代表SEI形成过程中损失的锂量。电池退化对OCV曲线的影响较小,但确实影响了阳极和阴极之间的容量匹配关系。电池的老化包括SEI消耗的活性锂损失、正负极容量比失衡等。其中,活性锂损失始终主导老化过程。而且卷芯不同位置老化程度不一致。

图7 老化机理
编辑:黄飞