时间:2023-03-29 09:26
人气:
作者:admin
辐射电磁干扰 (EMI) 是一种在特定环境中动态出现的问题,与电源转换器内部的寄生效应、电路布局和元器件排布及其在运行时所处的整体系统相关。因此,从设计工程师的角度出发,辐射 EMI 的问题通常更具挑战性,复杂度更高,在系统主板使用多个 DC/DC 功率级时尤为如此。了解辐射 EMI 的基本机制以及测量要求、频率范围和相应限制条件至关重要。本文重点介绍这些方面的内容,展示辐射 EMI 测量装置以及两个 DC/DC 降压转换器的结果。
近场耦合
图 1 概略介绍了噪声源与受干扰电路之间基本 EMI 耦合模式特别是电感或 H 场耦合需要 di/dt 较高的时变电流源和两条磁耦合回路(或带有返回路径的平行导线)。另一方面,电容或 E 场耦合需要 dv/dt 较高的时变电压源和两块紧邻的金属板。这两种机制均属于近场耦合,其中的噪声源与受干扰电路非常接近,可使用近场嗅探器进行测量。

图 1:EMI 耦合模式
例如,现代电源开关,特别是氮化镓 (GaN) 和碳化硅 (SiC) 基晶体管,其输出电容 COSS 较低,栅极电荷 QG 较少,能够以极高的 dv/dt 和 di/dt 转换率进行开关。相邻电路发生 H 场和 E 场耦合以及串扰的可能性很高。然而,随着互感或电容减小,耦合结构的间距增大,近场耦合显著减弱。
远场耦合
典型的电磁 (EM) 波以 E 场和 H 场组合的形式传播。辐射天线源附近的场结构为复杂的三维模式。从辐射源进一步分析,远场区域中的 EM 波由彼此正交并且与传播方向正交的 E 场和 H 场分量组成。图 2 展示了这种平面波,它代表辐射 EMI 的主要基准,受到各种辐射标准的约束。

图 2:电磁平面波传播
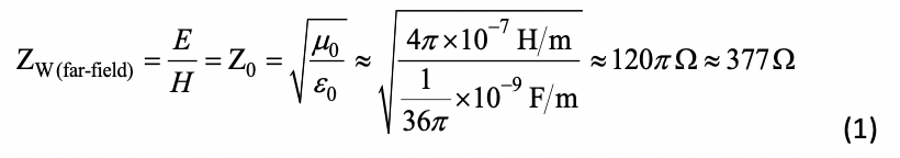
图 3 所示的波阻抗等于电场强度与磁场强度之比。远场区域中的 E 和 H 分量同相,因此远场阻抗呈阻性,具体值可通过麦克斯韦方程(如方程 1 所示)的平面波解决方案计算:

如果 λ 是波长,F 是所需频率,方程 2 通常表示近场和远场区域之间的边界:

然而,该边界不是精确的标准,仅用于指示一般性过渡区域(图 3 中描述为 l/16 至 3l),其中的场从复杂的分布形态演变为平面波。

图 3:麦克斯韦定律中近场和远场区域的波阻抗
鉴于多数天线设计用于检测和响应电场,辐射的电磁波通常称为垂直或水平极化,具体取决于电场方向。测量 E 场天线一般应与传播的 E 场在同一平面中定向,从而检测最大场强。因此,辐射 EMI 测试标准通常介绍接收天线以垂直和水平极化方式安装时的测量。
工业和多媒体设备中的辐射 EMI
表 1 列出了联邦通信委员会 (FCC) 第 15 部分 B 子节针对无意辐射体规定的 A 类和 B 类辐射发射限值。此外,本规范第 15.109(g) 条允许在使用美国国家标准协会 (ANSI) C63.4-2014 规定的测量方法时,使用国际无线电干扰特别委员会 (CISPR) 22 规定的辐射发射限值(如表 2 所述)。表 1 和表 2 中规定的限值均针对低于 1GHz 的频率,使用 CISPR 准峰值 (QP) 检测器功能,分辨率带宽 (RBW) 为 120kHz。表 3 和表 4 规定的限值针对 1GHz 以上的频率,此时使用峰值 (PK) 和平均 (AVG) 检测器以及分辨率带宽为 1MHz 的接收器。
对于指定的测量距离,B 类民用或家用应用限制通常比 A 类商用或工业应用限制更严格,通常高出 6dB 至 10dB。另请注意,表 1 和表 2 还包括一个按照 15.31(f)(1) 使用的 20 dB/dec 的反向线性距离 (1/d) 比例系数,针对 3m 和 10m 天线测量距离对应的限值进行归一化处理,从而确定合规性。例如,如果将天线放置在 3 米而非 10 米的位置,从而保持在测试设备边界内,则限制幅值调整约 10.5dB。
表 1:按照 47 CFR 15.109(a) 和 (b) 标准规定的 30MHz 到 1GHz 范围的辐射发射场强 QP 限值

表 2:按照 47 CFR 15.109(g)/CISPR 22/32 标准规定的 30MHz 到 1GHz 范围的辐射发射场强 QP 限值

表 3:按照 47 CFR 15.109(a) 和 (b) 标准规定的 1GHz 到 6GHz 范围的辐射发射场强限值

表 4:按照 47 CFR 15.109(g)/CISPR 22/32 标准规定的 1GHz 到 6GHz 范围的辐射发射场强限值

图 4 展示了当天线距离为 3m 时,A 类和 B 类相关限值的图象。符合 FCC 的设计包括采用 Bluetooth® 低能耗技术的气体传感器实施方案,其由电池供电,可从德州仪器 (TI) 购买。用户可下载有关此设计的FCCA类合规性报告,其中列出辐射发射测试数据和图象,以便查阅相关信息。

图 4:FCC 第 15 部分和 CISPR 22 的 A 类和 B 类辐射限值(对于低于和高于 1GHz 这两种条件,分别使用 QP 和 AVG 检测器)
如图 5 所示,辐射 EMI 测试程序包括将待测设备 (EUT) 和支持设备放置在半消声室 (SAC) 或开阔试验场 (OATS) 内的非导电转盘(高出基准接地平面 0.8m)之上,遵循 CISPR 16-1 中所定义。EUT 设置在与安装于天线塔上的接收天线相距 3m 的位置。
使用经校准的宽带天线(双锥形天线和对数周期天线组合,或者 Bilog 天线)的 PK 检测器预扫描功能,沿水平和垂直两种天线极化方向对 30MHz 到 1GHz 的辐射发射进行检测。这种探究性测试可以确定所有重要发射的频率。执行该测试后,使用 QP 检测器检查相关的故障点,记录最终合规测量值。
在测试期间,EMI 接收器的 RBW 设置为 120kHz。配置天线的水平和垂直极化方向(将其相对于接地平面旋转 90°),并将高度调整为高出接地平面 1m 到 4m,以便在考虑地面反射时,将每个测试频率对应的场强读数最大化。在测量期间,可将转盘上的 EUT 在 0 到 360° 之间旋转,使天线与 EUT 之间的方位角发生变化,以便根据 EUT 的方位获得最大场强读数。天线位于 EUT 的远场区,对应于 3m 天线距离,频率为 15.9MHz。

图 5:FCC 第 15 部分和 CISPR 22/32 对应的辐射发射测量装置
可以使用喇叭天线针对 1GHz 以上的频率执行 PK 检测器预扫描,然后在接近限制时使用 AVG 检测器。EMI 接收器的 RBW 设置为 1MHz。天线方向明确,因此无需执行高度扫描,接地平面和暗室壁的反射也很难造成干扰。然而,EUT 在这些频率下的辐射发射方向性更强,因此转盘再次旋转 360 度,确定天线极化方向以获得最大响应。根据表 5,测量频率的上限范围随 EUT 的最高内部频率发生变化。
表5:辐射发射最大测量频率(基于 EUT 内部时钟源的最高频率)

辐射发射测试以每米若干分贝/微伏 (dB/mV) 为单位校准电场强度。天线因子 (AF) 是天线平面产生的电场 (mV/m) 与频谱分析仪 (SA) 或扫描 EMI 接收器测得的电压 (dB/mV) 之比。一般而言,校正的发射电平由方程 3 推导得出,推导时将 AF、电缆损耗 (CL)、衰减器和 RF 限制器损耗因子 (AL) 以及放大器预增益 (AG) 考虑在内。

图 6 所示为 LMR16030 60V/3A 降压转换器辐射发射测试装置的照片和结果。测量条件为 24V 输入、5V 输出、3A 负载电流和 400kHz 开关频率。

图 6:CISPR 22 辐射 EMI 测试:测试装置照片 (a);水平和垂直极化天线的辐射 EMI 结果 (b)
汽车系统中的辐射 EMI
尽管屏蔽电缆可以削弱汽车系统中的干扰效应,但 EMI 可通过串扰“有效地”在易受影响的电路中耦合。在场线耦合效应的作用下,对于体积相对较小但电源分布密集、信号通过电缆束的车辆,辐射排放还可能导致信号互连出现辐射抗扰问题。基于上述原因,评估 EMI 性能便成为汽车工程师在设计和测试电动汽车时重点关注的问题。
UNECE 10 号法规和 CISPR 25
CISPR 12 和 CISPR 25 均为国际标准,提供无线电干扰测量的限值和程序,分别为汽车的车载和非车载接收器提供保护。CISPR 25 特别适用于汽车级别,也适用于所有车用电子组件 (ESA)。与其他标准相比,CISPR 25 通常作为汽车制造商及其供应商定义产品规格的基础,但不是评定合规性和遵从情况的基准。自欧盟电动汽车 EMC 指令废止后,联合国欧洲经济委员会 (UNECE) 第 10 条规定中出现这一差别。
CISPR 25 针对车辆元器件排放测量定义了数种方法和限值类别,兼顾宽带 (BB) 源和窄带 (NB) 源。图 7 说明了针对元器件/模块使用 PK 和 AVG 检测器的 5 类限值。测量对象为车辆中工作在广播和移动服务频带中的接收器。最低测量频率涉及 150kHz 至 300kHz 的欧洲长波 (LW) 广播频带,最高频率为 2.5GHz(考虑蓝牙传输)。

图 7:使用内衬吸收器的屏蔽外壳 (ALSE) 方法,通过峰值和平均值检测器(线性频率标度)测得的元器件/模块的 CISPR 25 5 类辐射限值
对于 30MHz 以下和以上两种条件下的检测,扫描接收器的 RBW 分别为 9kHz 和 120kHz。例外情况是 GPS L1 民用(1.567GHz 至 1.583GHz)和全球导航卫星系统 (GLONASS) L1(1.591GHz 至 1.613GHz)频段。在这两种频段下,需要 9kHz 的 RBW 和 5kHz 的最大步长,从而在仅使用 AVG 检测器的情况下检测出相应的 NB 发射。
CISPR 25 的天线系统
使用额定输出阻抗为 50Ω 的线性极化电场天线进行测量。表 6 和图 8 显示了 CISPR 25 建议使用的天线,可提升不同实验室所提供结果的一致性。
表 6:根据 CISPR 25,建议使用电场天线;双锥形天线和对数周期天线存在叠加频率,而 Bilog 天线覆盖了二种天线各自的频率范围。


图 8:符合 CISPR 25 规范的测量天线
对于低频测量,使用带地网的无源/有源拉杆单极天线。双锥形和对数周期偶极子阵列 (LPDA) 天线通常分别覆盖 30MHz 至 200MHz 和 200MHz 至 1GHz 的频率范围。最后,双脊喇叭天线 (DRHA) 通常用于 1GHz 至 2.5GHz。宽带 Bilog 天线的外型比双锥形或对数周期天线更大,有时用于覆盖 30MHz 至 1GHz 的频率范围。
使用 ALSE 进行辐射 EMI 测试
图 9、10 和 11 所示为使用 CISPR 25 ALSE 方法(也称天线方法)的典型装置,针对表 6 中规定的频率范围进行辐射发射测量。
EUT 和电缆束放置在高出接地平面 50mm 的非导体介电材料(相对介电常数 εr 较低,不高于 1.4)之上。与接地平面前部平行的线束长度为 1.5m,EUT 与负载模拟器之间测试线束的总长度不超过 2m。测试线束的长段平行于接地平面朝向天线的边缘,与边缘相距 100mm。接地平面的要求是最小宽度和长度分别为 1m 和 2m,或者在整个设备下方加上 200mm,取其中的较大值。根据方程式 2 给定的近远场转换以及 1m 天线距离,在 EUT 的近场区域进行测量时,频率必须低于 48MHz。

图 9:单极拉杆天线(150kHz 至 30MHz)的 CISPR 25 辐射发射测量装置

图 10:双锥形天线(30MHz 至 300MHz)或对数周期天线(200MHz 至 1GHz)的 CISPR 25 辐射发射测量装置

图 11:喇叭天线(1GHz 以上)的 CISPR 25 辐射发射测量装置
喇叭天线与 EUT 对齐,其他天线则放置在线束中点。执行所有测量时,天线距离均为 1 米。频率范围为 150kHz 至 30MHz 的测量仅针对垂直天线极化执行。频率范围为 30MHz 至 2.5GHz 的扫描同时针对水平极化和垂直极化执行。
如前文所述,EMI 接收器与 AF 结合所检测到的天线电压可在天线位置产生电场强度。请注意,独立的 AF 可用于水平和垂直极化,因此可以使用相应的 AF 值对每个极化方向进行测量。
辐射 EMI 预合规测试及结果
图 12 为 LM53635-Q1 汽车级同步降压转换器 [9] 辐射发射测试装置的照片。EUT 由汽车电池供电,正负供电线路均连接线路阻抗稳定网络 (LISN)。3.5A 阻性负载下的输出为 3.3V。开关频率为 2.1MHz,高于许多汽车系统所需的 AM 频带,同时启用了扩频调频 (SSFM)。图 13 至 16 显示了使用各种测试天线通过 CISPR 25 5 类限值要求的测量结果。

图 12:CISPR 25 预合规测量装置照片

图 13:辐射发射结果:150kHz 至 30MHz,拉杆天线,垂直极化

图 14:辐射发射结果:30MHz 至 300MHz,双锥形天线,水平和垂直极化

图 15:辐射发射结果:200MHz 至 1GHz,对数周期天线,水平和垂直极化

图 16:辐射发射结果:1GHz 至 2.5GHz,喇叭天线,水平极化
结论
辐射发射影响电源转换器在高频条件的 EMI 特性 [10]。辐射测试的上限频率扩展到 1GHz 甚至更高(取决于规范),远高于传导发射。虽然不像传导发射测试那样简单直接,但辐射发射测量对于合规测试不可或缺,很容易成为产品开发过程中的瓶颈。
对于汽车应用,由于长度原因,电缆束在低频条件下主要采用辐射结构。测得的辐射发射曲线主要来源于所连接电缆中的共模电流,由印刷电路板 (PCB) 与电缆之间的近场电耦合驱动。我将在本文的后续章节探讨辐射 EMI 减弱技术。
审核编辑:郭婷