时间:2023-03-29 09:37
人气:
作者:admin
本系列文章的第 5 和第 6 部分[介绍有助于抑制非隔离 DC-DC 稳压器电路传导和辐射电磁干扰 (EMI) 的实用指南和示例。当然,如果不考虑电隔离设计,DC-DC 电源 EMI 的任何处理方式都不全面,因为在这些电路中,电源变压器的 EMI 性能对于整体 EMI 性能至关重要。
特别是,了解变压器绕组间电容对共模 (CM) 发射噪声的影响尤其重要。共模噪声主要是由变压器绕组间寄生电容以及电源开关与底盘/接地端之间的寄生电容内的位移电流所导致的。DC-DC 反激式转换器已被广泛用作隔离电源,本文专门对其 CM 噪声进行了分析。
反激式拓扑
DC-DC 反激式电路[8-9] 在工业与汽车市场领域应用广泛,由于可轻松配置成单个或多个输出,尤为适合低成本隔离式偏置轨。需要进行隔离的应用包括用于单相及三相电机驱动器的高压 MOSFET 栅极驱动器,以及工厂自动化和过程控制所用的回路供电传感器和可编程逻辑控制器。
反激式实现方案如图 1 中的原理图所示,该实现方案提供了一种结构简单、元件器数量少的可靠解决方案。如果可以采用初级侧稳压 (PSR) 技术,则反馈稳压无需使用光耦合器及其相关电路[8],从而能够进一步减少元器件数量,简化变压器设计。具有功能型隔离的变压器可直接实现电路接地隔离,而增强型隔离则用于安全要求极高的高压应用。

图 1:采用典型的 24V 电源或 12V/48V 输入(分别用于工业或汽车电池应用)的 DC-DC 反激式稳压器。图中已明确标出具有磁化作用的反激式变压器、漏电感以及电路寄生电容
反激式开关波形特性
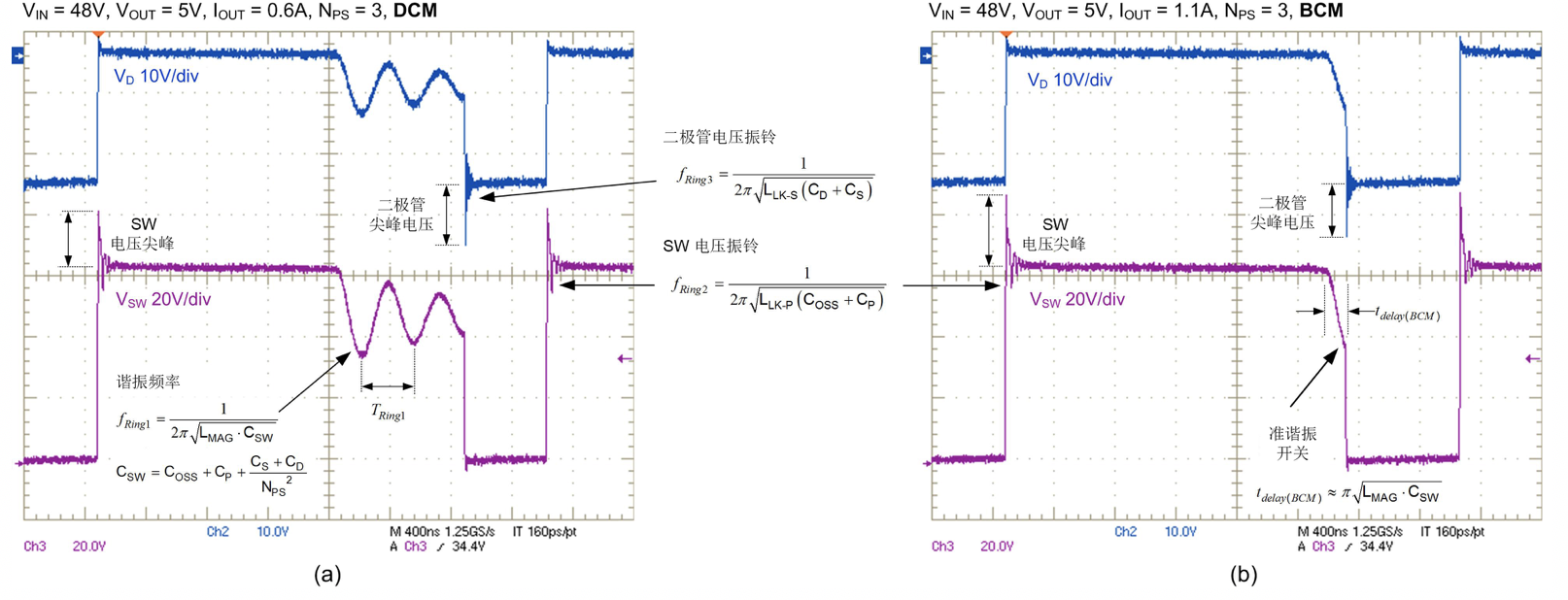
图 2 所示为以非连续模式 (DCM) 和边界导通模式 (BCM) 运行的反激式功率级(如图 1 所示)的初级侧 MOSFET 和次级侧整流二极管电压波形[8]。图 2a 突出显示了 DCM 模式下的开关波形,其中初级侧 MOSFET 在开关节点谐振电压摆幅的谷值附近导通。图 2b 所示为 BCM 开关波形,其中准谐振 MOSFET 在从二次侧绕组电流衰减到零起约半个谐振周期延迟之后导通。在 DCM 和 BCM 模式下,初级侧 MOSFET 均在零电流时导通。

图 2:以 DCM (a) 和 BCM (b) 模式运行的反激式转换器初级侧 MOSFET 和次级侧二极管电压波形;跨越初级侧绕组的 DZ 电路可钳位与漏电感相关的电压尖峰
除了开关期间尖锐的电压和电流边沿,对于 EMI,电压尖峰过冲以及随后产生的振铃特性尤为棘手。每次换向都会激励开关与二极管寄生电容和变压器漏电感之间的阻尼电压和电流振荡。图 2 所示为 MOSFET 关断时的开关节点电压前沿尖峰和高频振铃。振铃特性取决于与 MOSFET 输出电容 (COSS) 谐振的初级侧漏电感 (LLK-P) 以及变压器初级侧绕组电容 (CP)。类似地,二极管电压振铃取决于与二极管结电容 (CD) 谐振的二次侧漏电感 (LLK-SEC) 及二次侧绕组电容 (CS)。过冲和振铃都会产生较高的瞬态电压 (dv/dt),因此任何至接地端的电容耦合都会导致产生感应位移电流和 CM 噪声。
以连续导通模式 (CCM) 工作时,主开关导通时反激二极管的反向恢复会产生额外的负面作用,使振铃电压升高并产生前沿尖峰电流,随着恢复电流反映到初级侧而流入初级侧 MOSFET。注意,反激式磁性元器件主要相当于耦合电感,因为电流通常不会同时流入初级侧和次级侧绕组。只有在开关转换期间才能出现真正的变压器行为[10],此时电流同时流入初级侧和次级侧绕组(漏电感中的电流逐渐增大)。
隔离式 DC/DC 反激式转换器中的 CM EMI
图 3 所示为反激式稳压器的原理图,其中连接有用于测量 EMI 的线路阻抗稳定网络 (LISN)。红色虚线表示穿过寄生电容到达接地端并返回到 LISN 的 CM 噪声电流主要传播路径。电容 CZ 从初级侧接地端 (PGND) 连接到次级侧接地端 (SGND),将次级侧的 CM 电流分流回初级侧,其作用是分流流经 CSE 并通过 LISN 返回的 CM 电流。

图 3:双线 DC-DC 反激式稳压器(输入端连接有 LISN)的 CM 噪声电流传播路径。同时,还显示了初级侧基准的辅助输出端
尽管初级侧 MOSFET 漏极端子的高转换率电压是主要的 CM 噪声源,但变压器及其寄生电容是传导 EMI 从初级侧传播到次级侧的耦合通道,并且噪声通过阻抗从输出电路传播到接地端。CM 电流主路径(在图 3 中由 ICM-SEC 表示)为,从变压器的初级侧流到次级侧,并通过阻抗从输出电路流到接地端。与非隔离转换器类似,使用较小的开关节点覆铜面积,将 MOSFET 散热器(如果需要)连接到 PGND,同时避免开关节点完全通过过孔连接到电路板底部[7],这些措施都能消除从 MOSFET 漏极到接地端的耦合(在图 3 中用 ICM-PRI 表示)。
对于此处所述的情况,与变压器相关的以下三大考量因素适用。
首先,紧密耦合变压器绕组可以最大限度地降低漏电感,从而实现高效率和高可靠性,同时降低开关电压应力。交错设计是降低漏电感和绕组交流电阻的常用技术,因此,绕组间电容会相对变大。此外,对于具有印刷电路板 (PCB) 嵌入式绕组的平面变压器,由于各个层堆叠紧密,各层的表面积大,因此,绕组间电容比传统的绕线型设计更高。在任何情况下,将脉冲噪声电压源施加到这种分布式寄生电容,都会产生相对高的位移电流。该电流从初级侧绕组流向次级侧绕组,然后返回到接地端,从而产生较大的 CM 噪声[11]。
其次,与寄生绕组间电容谐振的漏电感可能导致测得的 EMI 频谱中出现明显的高频 CM 噪声峰值。
第三,由于磁芯材料介电常数较高,对电场的阻抗低,因此,由高 dv/dt 节点产生的杂散近电场很容易通过变压器磁芯耦合。然而,如果将磁芯包上铜箔并将铜箔连接到 PGND,则磁芯与地之间的寄生电容 (CME) 会很小。
通常,反激式变压器设计的优化不仅关乎解决方案尺寸、外形、效率和热性能,对 CM 噪声性能也有巨大影响。
CM 噪声分析模型
图 4a 所示为双绕组变压器,初级侧端子和次级侧端子分别由(A、B)和(C、D)表示。端子 A 根据输入总线电容等效连接到 PGND,在 CM 噪声分析的适用频率下表现为有效短路。图 4b 显示的是变压器的传统静电模型。从节能角度来看,可建立包含六个电容的双绕组变压器的寄生电容模型,其中包括四个绕组间电容(C1、C2、C3、C4)和两个绕组内电容(CP、CS)。
除了影响脉冲开关电压波形的 dv/dt 之外,绕组内电容不影响从初级侧到次级侧的位移电流。此六电容此模型不必要地提高了复杂性,并增大了变压器等效电容的计算难度。但是,用等效噪声电压源代替非线性开关器件(根据 CM 噪声分析的替换定理[12])时,会将一个独立或非独立的噪声电压源与变压器绕组并联,并且可以去除两个绕组内电容。绕组电容模型可简化为四个集总电容,如图 4c 所示,图中 vSW 和 vSW/NPS 分别是初级侧绕组和次级侧绕组上的开关电压源。假设漏电感较低,则绕组电压会如预期般根据变压器匝数比 NPS 变化。

图 4.(a) 用于 CM 噪声分析的双绕组变压器;(b) 六电容 CM 模型;(c) 四电容 CM 模型。
最后,当其中一个变压器绕组等效连接到独立电压源(以替代非线性开关)时,两个集总电容便足以表现出双绕组变压器绕组间寄生电容的特征。双电容模型的推导与位移电流守恒原则一致[12,13]。如图 5a 所示,可能的双电容绕组电容模型总共有六种。图 5b 显示了其中一种可能的双电容 CM 模型实现方案(使用电容 CAD 和 CBD)及其相应的戴维宁等效电路。

图 5:(a) 六种可能的双电容 CM 模型;(b) 双电容 CM 模型及其戴维宁等效电路
双电容 CM 噪声模型可灵活地用于不同的隔离型稳压器拓扑,并有助于通过实验测量推导出变压器集总电容模型[13]。CTOTAL 是用阻抗分析仪测得的变压器结构化绕组间电容,测量时将初级侧和次级侧端子短接,然后将变压器用作单端口网络。对初级侧绕组端子(A、B)施加源阻抗为 50W 的开关频率正弦激励信号,并测量 VAD 与 VAB 的电压比,可由公式 1 推导出 CBD:

显然,该模型的优点是通过简单的实验测量即可轻松推导出寄生电容,而无需了解变压器结构或电位沿绕组的分布情况[13]。
反激式稳压器 CM 噪声模型
图 6 所示为具有初级侧、次级侧、辅助和屏蔽绕组的反激式变压器的 CM 模型(与图 3 类似,但包含一个初级侧接地屏蔽绕组)。NA 和 NSH 分别是初级侧绕组与辅助绕组以及初级侧绕组与屏蔽绕组的匝数比。对于初级侧绕组与辅助绕组的耦合以及初级侧绕组与屏蔽绕组的耦合,由于电流仅在初级侧流动,不会返回 LISN,因此对所测量的共模噪声不产生影响,因此不考虑这些耦合。这样,三个 4 电容电路便足以对初级侧到次级侧、辅助到次级侧以及屏蔽到次级侧绕组之间的耦合进行建模。根据用作 CM 噪声低阻抗的输入电容,初级侧绕组的端子 A 与 PGND 短接。

图 6:(a) 多绕组反激式变压器集总 CM 寄生电容模型;(b) 双电容 CM 模型;(c) 戴维宁等效电路
根据前面的讨论,只需要两个独立电容和一个电压源即可描述 CM 特性,表达式已包括在图 6 中。如前文所述,CTOTAL 是测得的短路初级侧基准绕组与短路次级侧绕组之间的电容。
为建立图 3 中反激式稳压器的 CM 噪声模型,图 7 中用方框突出表示了随后替换为适当双电容 CM 变压器模型的变压器(包括初级侧、次级侧、辅助和屏蔽绕组)。根据替换定理,将电路中的非线性开关器件替换为时域电压或电流波形与原始器件完全相同的电压或电流源时,电路中的所有电压和电流都不会发生变化。因此,电压波形与 MOSFET 的漏源极电压相同的电压源 (VSW) 将代替 MOSFET。同样,电流波形与二极管电流相同的电流源 (IDOUT 和 IDCL) 将代替两个二极管。替代后,电路中的电压和电流保持不变。
同时,输入和输出电容对 CM 噪声的阻抗非常小,因此可将其阻抗忽略。CM 扼流器串联阻抗表示为 ZCM-CHOKE,25W 测量电阻反映了 LISN 的特征。最后,去除了对流经 LISN 的 CM 噪声没有显著影响的寄生电容。图 7a 呈现了应用替换定理后反激式稳压器的 CM 噪声模型[14]。

图 7:(a) 基于替换定理的反激式电路模型;(b) 应用叠加定理后反激式稳压器的最终 CM 模型
与电压源并联或与电流源串联的元器件对网络中的电压或电流无影响,因此可以去除。叠加定理可帮助分别分析 IDCL、IDOUT 和 VSW 的作用。显然,IDCL 和 IDOUT 已短路,不会产生 CM 噪声。图 7b 显示的是最终 CM 模型,公式 2 可计算在 LISN 测得的 CM 噪声电压:

随后,可以方便地应用包含测得的 VSW 波形的电路仿真,对 CM 噪声以及各个元器件所产生的影响进行分析。如果假设漏电感的阻抗远低于总寄生绕组电容 CTOTAL,则可以认为该模型是准确的。显然,减小 CBD 和增大 ZCM-CHOKE 或 CZ 都会导致噪声电压降低。注意,如果根据公式 1 测得的 VAD 为零,则 CBD 实际上是零,基本上消除了通过变压器的 CM 噪声。这是非常方便的测试变压器是否平衡的手段。
基于双电容变压器模型的 CM 噪声模型的一般推导过程遵循以下六个步骤:
应用替换定理,将非线性半导体器件替换为等效电压源或电流源。替换的原则是,获得易于分析的 CM 噪声电路,同时避免电压回路和电流节点。电压源和电流源的时域波形应与原始器件相同。输入电容和输出电容对 CM 噪声的阻抗非常小,因此视为短路。
如果将其中一个变压器绕组与电压源并联,则将所有其他绕组替换为受控电压源,因为绕组电压取决于变压器匝数比。
去除所有与电压源并联或与电流源串联的元器件,简化模型。
用图 5a 中最能简化 CM 噪声分析的其中一个双电容模型替换原来的变压器。
根据叠加定理,分析由所有电压源和电流源产生的 CM 噪声。
分析使用步骤 1 到 5 创建的电路,去除对流经 LISN 的 CM 噪声无影响的寄生电容。根据所得的 CM 噪声模型检查 CM 噪声电流。
总结
从 EMI 的角度来看,传统的硬开关隔离式转换器与非隔离式转换器相比更具挑战。近来,业界对于隔离式 DC-DC 稳压器中高频变压器的性能要求愈发严苛,尤其是在 EMI 方面。变压器不断变化的绕组间电容相当于 CM 噪声的关键耦合路径。
所提出的变压器双电容模型应用广泛,使用简单,这是因为其集总电容可通过一种简单的测量方法轻松量化。在本 EMI 系列文章的下一部分,将采用该模型设计隔离型转换器的 EMI 抑制技术并对其进行表征,其中包括噪声平衡及噪声消除等内容。
审核编辑:郭婷