时间:2023-03-29 09:45
人气:
作者:admin
在电源电路设计中,Buck电源是常见的电源应用,今天我们来分析一下Buck电路反馈引脚接电容的作用。
在多数通用电源芯片手册上,可调输出电压的电源都会给出反馈引脚的电阻RH,RL,Vfb这三个参数,在FB引脚和Vout之间有一个option(电容)选项,这个option(电容)设计手册中也有一些说明,但大都不是很详细,那么这个电容的作用究竟是什么 ,其实它是一个反馈电源瞬态响应的一个参数,影响这电压转换器的带宽及瞬态响应能力。 如何选择这个电容的值,需要利用工具检测波形,对比各种电容效果,进行改善,以便达到最优秀的产品性能。
如图1所示,是某个降压型DCDC的应用,已下探讨的是Cf的作用和选取方法。

图 1 电源芯片段典型应用
一、反馈电容的影响
如图2为简化的输出可调电源的应用示意图。

A(s)为电源系统的开环增益,为方便讨论我们假定A(s)里已经包含了输出电容、负载等其他因素的影响。
上述电路在不使用反馈电容CF时的输出电压为

其中,β为反馈系数。 其环路增益(Gs)为

可见,通过调节分压电阻虽然可以改变输出电压OUT,但同时也使得G(s)的带宽变窄。
合理地使用反馈电容可以提升电源的带宽及响应速度,此时环路增益为

由此可得,CF并不改变DC输出,而是为系统引入了一对低频零点fz和高频极点fp。 零点会使相位裕量增加,极点则恶化相位裕量,使零点与极点尽量远离才能获得更多的相位裕量。 但CF引入的零极点对的距离在对数坐标里是固定的,因为

据此可确定,反馈电容在R1/R2越大时作用越明显,在R1=0时不产生作用。 而在R1/R2确定的场合,需要合理地选择反馈电容CF。
二、反馈电容的选择
为了兼顾系统的带宽和相位裕量,通过以下步骤可以得到最优化的反馈电容容值
在没有反馈电容的情况下测得系统的穿越频率fc;
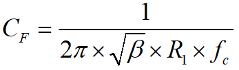
选择的反馈电容引入的零点和极点,使其满足

化简为:

来个实例分析,如图所示

在某种运用下将SY8513配置成5V输出,使用电阻R1=105kΩ,R2=20kΩ,此时β=0.16。
使用环路分析仪,在没有反馈电容的情况下测得系统的环路增益曲线,如下所示。

可见此时系统的穿越频率为fc=34.8kHz,计算得到最优的反馈电容CF=109pF,我们实际使用较为接近的110pF。
此外,在没有反馈电容时,该配置下的相位裕量仅为27º。
在没有反馈电容的配置状态,进行负载瞬变响应测试,当负载从1A跳变至3A时,输出电压最大存在340mV偏移。

而使用110pF反馈电容后的环路增益曲线如下所示,可以看到穿越频率变为了72.4 kHz,带宽扩大了一倍。 同时,相位裕量也增加到了50º。

进行相同的负载瞬变响应测试,在增加反馈电容后,输出电压的最大偏移量从340mV降低为200mV,发生了明显改善。

综上所述,合理的使用反馈电容可以明显地改善电源的动态特性。
反馈电容的最优值是基于系统带宽和相位裕量的最优折中。 在必要的场合,通过综合分析实际应用时转换器的带宽和裕量的要求,对最优值的适当增大或减小以进一步优化带宽或裕量。 通常情况下,我们建议尽量接近最优值。
需要注意,并不是每一个 DC-DC 电路都需要前馈电容,实际设计时,按照 SPEC 参考设计来即可。
审核编辑:汤梓红
下一篇:DC-DC电路中电感的特性与选择