时间:2023-03-17 09:50
人气:
作者:admin
与锂二氧化锰 (LiMnO2) 等电池化学物质相比,锂亚硫酰氯 (LiSOCI2) 电池可实现更高的能量密度和更出色的每瓦成本比,因此普遍用于智能流量计。但 LiSOCl2 电池有一个缺点,即对峰值负载的响应性较差,这可能导致电池可用容量降低。因此在本文中,我们将探讨一种降低电池峰值负载(数百毫安级)的有效方法,从而帮助延长电池寿命。
更大程度提高电池可用容量是十分重要的,因为这可以使系统设计实现:
在使用相同电池的条件下增加仪表读数次数和数据传输量。
在使用相同电池的条件下实现更长的寿命。
在工作寿命不变的情况下减小电池尺寸。
通过对更多类型的流量计应用相同的设计,以上优势可更大程度地降低电池成本、维护成本和开发成本。
设计难题:延长电池寿命
成功的仪表设计需要实现长久的运行时间(大于 15 年)以及阀控制、数据记录和数据传输等功能。延长电池寿命是一种延长仪表运行时间的有效方式。但是,如果不使用任何电源缓冲器,直接将电池与负载进行连接,那么仪表复杂的负载曲线可能会缩短电池寿命。
根据电流电平不同,可以将标准仪表的负载消耗曲线分为待机模式、中间模式和工作模式。每种模式对电池寿命的影响不同:
待机模式的电流消耗为 5µA 至 100µA。主要耗电项为计量、微控制器和保护电路的静态电流 (IQ)。虽然其绝对值非常小,但通常是影响仪表寿命的主要因素。处于待机模式时,连接的任一直流/直流转换器的 IQ 均应处于纳安级,电源缓冲器的泄漏值应处于低水平,从而提高效率。
中间模式的电流消耗为 2mA 至 10mA。通常情况下,这类负载来自于 RX 阶段的模拟前端。在此模式下,电源缓冲器的效率对于更大程度地减小能量损耗十分重要。
工作模式下的电流消耗最高。在工作模式下,负载通常来自于 TX 阶段的驱动阀和模拟前端,需要 20mA 至几百毫安的电流。直接从 LiSOCl2 电池中获取电流会使电池容量严重降额。
表 1 显示了在不同的负载和温度条件下,Saft LS33600 电池在 17Ah 额定容量基础上的容量降额情况。在工作温度为 +20°C 时,200mA 负载电流会导致容量降额 42%。因此,绝不可直接使用电池对负载供电。只有使用低泄漏的电源缓冲器,才可以将峰值电流限制在 10mA 以下。
| 容量 (Ah) | -40°C | –20°C | +20°C |
| 10mA | –41.2% | –17.6% | 无降额 |
| 100mA | –82.35% | –58.8% | –23.5% |
| 200mA | 不适用 | 不适用 | –42.0% |
表 1:Saft Batteries LS33600 电池的容量和电流特性
TI TPS61094 60nA IQ 降压/升压转换器可在延长电池寿命的同时,在待机模式、中间模式和工作模式下保持出色效率。TPS61094 主要具有三个好处:
在宽负载范围内实现超高效率。在 VOUT = 3.3V 且 VIN 大于5V 的条件下,负载为 5µA 至 250mA 时,TPS61094 可实现大于 90% 的平均效率,在大部分流量计用例中实现高效电源。
限制电池的峰值电流。在 Buck_on 模式下为超级电容器充电时,或在补充模式下使用电池对 VOUT 端的重负载供电时,TPS61094 均可以限制其峰值输入电流。图 1 显示了 TPS61094 的配置,图 2 显示的是 VOUT 端有 200mA 和 2s 负载脉冲时的电池峰值电流。在第 1 阶段重负载条件下,峰值电流限制在 7mA。在第 2 阶段负载释放后,器件以 10mA 的恒定电流对超级电容器充电。当超级电容器的电压经过充电恢复至0V 时,器件会停止充电,但仍处于 Buck_on 模式。

图 1:TPS61094 的配置

图 2:示波器显示重负载下的电池峰值电流结果
在整个温度范围内,超级电容器可提供的能量保持不变。通常情况下,使用混合层电容器 (HLC) 或双电层电容器 (EDLC) 作为电源缓冲器可提高脉冲负载能力。但是,这些无源器件内存储的能量取决于电池电压。温度降低时,电池电压也会随之下降,这会削弱 HLC 或 EDLC 的脉冲负载能力,并增大电池的电源电流。要解决这个问题,TPS61094 会使超级电容器的电压保持稳定,无论温度如何变化都不会改变电压。
超级电容器内的可用能量取决于超级电容器的容量、设定的超级电容器两端最大电压和 TPS61094 的欠压锁定功能。超级电容器的可用能量越多,在连续重负载条件下的工作时间越长。
图 3 分别显示了采用 TPS61094 或仅使用超级电容器的电源缓冲器解决方案。在 TPS61094 解决方案中,超级电容器电压设定为 2V。TPS61094 为连续负载供电时,可从超级电容器吸收功率,直到超级电容器电压降为 0.6V。因此,可以借助公式 1 计算超级电容器上的可用能量:

(1)
其中 ŋ 是转换器的平均效率。
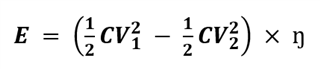
在温度为 –40°C 的最差情况下,TPS61094 可在输入电压为 2V 至 0.6V、电流为 150mA 时实现 92% 的平均效率。公式 2 显示计算结果为:

(2)

图 3:TPS61094 与 HLC/EDLC 配置
在 HLC 或 EDLC 解决方案中,可用能量随着电池电压的变化而变化。在温度为 –40°C 且电流为 10mA 时,LS33600 电压会降至 3V。利用公式 3 计算可用能量为:

(3)
对公式 2 和 3 的结果进行比较,可发现 TPS61094 解决方案的可用能量是 HLC 和 EDLC 解决方案的两倍。这意味着有更多的能量被输送到负载,并且在极端情况下,电池的峰值电流会降低。例如,如果在 3.3V 的电压下使用 200mA 负载来驱动阀门,HLC 或 EDLC 解决方案仅能在 2.8s 时间内支持负载。具有集成式超级电容器的 TPS61094 降压/升压转换器可在长达 7.8s 的时间内支持负载(假设由电源缓冲器为所有负载供电)。
结语
流量计具有复杂的负载消耗曲线,因此需要使用电源缓冲器,以帮助延长 LiSOCl2 电池的寿命。TPS61094 可在宽工作范围内实现出色效率,是解决寿命长度难题的理想之选。通过限制电池的峰值电流,这款降压/升压转换器可更大程度提升容量以及超级电容器的可用能量,与 HLC 或 EDLC 解决方案相比,可使系统在低温条件下工作更长时间。
审核编辑:郭婷
下一篇:了解3种静态电流的规格