时间:2022-11-11 09:23
人气:
作者:admin
一、全文概要
随着对高性能和低成本储能设备的需求不断增长,人们对锂(Li)金属电池(LMBs)越来越感兴趣。由于锂金属负极的高比容量(3860 mAh g-1)和低的负电化学电势(相对于标准氢电极-3.04 V),因此用锂金属作为负极被认为是一种用于获得高能电池的有效方法。
然而,在有机电解质系统中,连续镀锂和剥离会导致锂枝晶的出现以及固体电解质界面膜(SEI)的增厚,并且产生的死锂会导致容量损失和安全问题。由于固态电解质(SSEs)具有更高的安全性和抑制树枝状Li生长的能力,用SSEs代替可燃性有机电解质已引起人们的极大兴趣,并且固态LMBs作为在能量密度和运行安全性方面能够超越传统锂离子电池的下一代电池技术也受到了广泛关注。
在SSEs中,固体聚合物电解质(SPEs)具有成本低、无毒、重量轻等优点,适合大规模生产,因此具有巨大的应用潜力。要实现高性能LMBs,SPEs需要具有高离子电导率、合适的机械性能、在Li金属负极和正极均具有良好的界面稳定性、广泛的电化学稳定性。
然而,目前没有完美的策略能够使SPEs满足上述所有特性并且能够使具有高压正极的LMBs稳定运行。基于上述问题和需求,韩国科学技术高等研究院Bumjoon J. Kim和美国佐治亚理工学院Seung Woo Lee通过系统地调节相的体积比,基于聚合诱导相分离(PIPS)制备了不同相分离结构的塑料晶体嵌入的弹性体电解质(PCEE),以阐明PCEE在LMBs中的结构-性能-电化学性能的关系。
在弹性体相与塑料-晶体相的最佳体积比(即1:1)下,双连续结构的PCEE由高效的离子导电性、交联弹性体基体和具有远程连通性通道的塑料-晶体组成,在25°C下表现出极高的离子导电性(约10-3 S cm-1)和优异的机械回弹性(断裂伸长率约为300%)。
采用这种优化的PCEE、35 μm厚的Li负极和高负载LiNi0.83Mn0.06Co0.11O2(NMC-83)正极的组装的全电池有着437 Wh kganode+cathode+electrolyte-1的高能量密度。此外,用于固态LMBs的PCEE的结构-性能-电化学性能关系有望为各种电化学能量体系的弹性体电解质的开发提供参考。
二、正文部分
1、文章亮点
1. 通过精确控制弹性体与塑料晶体相的体积比,得到了具有各种不同连通性和弯曲度的相分离结构的PCEE,阐明了PCEE的双连续结构在优化其机械和电化学性能方面的作用,为弹性体电解质的开发提供了参考。
2. 证明了优化组成对于制备具有高离子电导率和机械强度的PCEE的重要性,并且用这种优化的PCEE组装的全电池获得了高能量密度,提升了PCEE的实际应用的潜力。
2、正文导读
3.1 具有不同BA:SN体积比的塑料晶体嵌入的弹性体电解质的设计

【图1】不同BA:SN体积比的塑料晶体嵌入的弹性体电解质(PCEE)的设计。a) 根据其相的体积比,PCEE的结构-性能关系示意图。b) 描述了三种代表性情况:弹性体为主的结构、双连续结构和塑料晶体为主的结构。
PCEE由丙烯酸丁酯(BA)基和丁二腈(SN)基溶液合成,分别是弹性体和塑料晶体的来源(补充图S1,S2)。BA基溶液由BA、聚(乙二醇)二丙烯酸酯(PEGDA)、偶氮二异丁腈(AIBN)和双(三氟甲磺酰)亚胺锂(LiTFSI)组成,而SN基溶液由SN和LiTFSI组成。当使用纯BA基溶液时,可以合成具有优异机械弹性的交联聚(BA)弹性体,但其在20℃时的离子电导率可以忽略不计。
相反,当使用纯SN基溶液时,SN-LiTFSI配合物表现出4.17 mS cm-1的高离子电导率,它通过反旋异构体传导锂离子。然而,基于小分子的塑料晶体电解质具有非常脆的性质,没有弹性。
因此,为了获得兼具优异机械性能和离子电导率的PCEE,在50℃下以不同体积比混合BA-和SN-基溶液,合成了不同结构的PCEE。随后将每种混合物在70°C下反应2小时以聚合BA,其中AIBN和PEGDA分别用作热引发剂和交联剂。
在聚合过程中,外部弹性体相与嵌入的由SN-LiTFSI复合物组成的内部塑料晶体域分离。PCEE独特的3D相分离结构的形成可以用PIPS来解释。
在原位聚合过程中,弹性体的同时演化和交联在动力学上捕获了离子导电塑料晶体。由于SN与锂盐之间存在较强且复杂的相互作用,大部分锂盐分离到SN相中产生导电纳米通道,而交联弹性体支架提供机械支撑。每个相的连通性和域的尺寸决定了PCEE的整体性能,例如离子电导率和机械强度。
因此,为了阐明PCEE的结构、性质和电化学性能之间的重要关系,研究了具有不同相分离结构的PCEE。根据每个相的优势,可以确定三种代表性情况:以弹性体为主的结构、双连续结构和以塑性晶体为主的结构。总结了每种结构的重要特性,例如弹性和离子电导率(图1)。
为方便起见,不同的PCEE用BAX表示,其中X是BA的体积分数(以百分比表示)。例如,BA50表示含有50% BA的PCEE。
请注意,BA100是指纯弹性体基电解质,而BA0表示纯SN基电解质。
3.2 双连续结构PCEE的形成机理

【图2】双连续结构PCEE的形成机理。a) PCEE的离子电导率与SN体积分数(fSN)的函数关系,显示四个特征区域(区域1-4)。b) a)中红点方框内的PCEEs的弯曲度,这是根据离子电导率的测量结果计算得出的。c)区域1 (BA98)、d)区域2 (BA95)、e)区域3 (BA70)、f)区域4 (BA50)的扫描电子显微镜(SEM)图像和示意图。
为了了解PCEE中三维互连离子传导通路的演变,测量了PCEE的离子电导率,即在20℃时SN体积分数(fSN)的增加。离子电导率与fSN的对数图可分为四个特征区域(图2a)。在非常低的fSN(区域1;fSN ≤ 0.02)下,PCEE表现出非常低的离子电导率(<10-7 S cm-1),这表明过低的SN体积分数无法在弹性体基质中形成连接的离子传导路径。
随着fSN从0.02增加到0.05(区域2),PCEE的离子电导率急剧增加到约10-5 S cm-1,比区域1观察到的高100倍,这可以归因于分离的塑料晶体相之间连接的增加,因为连接的网络结构在导电锂离子方面非常有效。在该区域中,需要足够的fSN才能在弹性体相中创建渗透网络。
预示着电导率急剧增加的点(fSN = 0.035)可以被认为是形成连接的离子传导通路的渗透阈值(fp)(补充图S3)。推测非常低的fp归因于两个不同的因素:i)弹性体和塑料晶相之间很强的不混溶性,ii)SN分子结晶的强烈趋势。在区域2连接SN网络后,PCEE的离子电导率在fSN为0.05和0.50(区域3)之间时逐渐增加。fSN(区域4;fSN ≥ 0.50)的进一步增加导致PCEE的离子电导率再次急剧增加,达到接近约1 mS cm-1的高值。
由于该值与纯SN相的值几乎相同(4.17 mS cm-1;BA0),因此了解PCEE在这些区域的结构对于阐明其高离子电导率的起源非常重要。 可以根据弯曲度的变化来研究PCEE中双连续结构的形成(图2b)。由于PCEE的离子电导率(σPCEE)很大程度上取决于PCEE内离子传导SN相的连通性;σPCEE可以表示为σSN(BA0的离子电导率)、fSN(SN相的体积分数)和τ(PCEE的弯曲度)的函数,即σPCEE= σSN fSN/τ。
基于该方程,计算对应于区域3和4(BAX,X= 40-70)PCEE的τ,以评估其SN相连接性的差异。BA70(区域3)显示出约12.0的高τ值,表明其曲折的SN相路径限制了离子的有效迁移。在BA55的情况下,其增加的fSN伴随着τ减少。减少到6.7的τ表明SN相通路之间的连接增加,形成了捷径。
最后,BA50和BA40(区域4)显示出约2.0的低τ,考虑到一个理想的小分子离子双连续网络的理想τ值在1.5到3.0之间,这个低值是非常接近理想值的。因此,对应于区域4(BA50和BA40)的PCEE具有有效的3D互连离子传导通路,从而产生高离子电导率(接近纯SN相的电导率(4.17 mS cm-1;BA0)。
为了阐明PCEEs的形态与其电导率与fSN的关系,通过扫描电子显微镜(SEM)研究了与每个区域相对应的PCEEs的结构,并且提供了形态的示意图,以更好地说明电导率-形态的关系。BA98(区域1)的扫描电镜图像显示表面平坦,无明显特征(图2c)。
对应于区域1的PCEEs由于其塑料晶相体积分数低,离子电导率极低,它们的塑料晶体相在弹性体中彼此分开。BA95(区域2)显示出一种独特的模式,即扭曲的狭窄通路的连接(图2d)。在区域3(BA70)中,通过在弹性体相内增加SN的量来增加路径的数量和路径之间的互连性,从而导致SN传导相的弯曲度较低(图2e)。
观察到的BA50的结构(区域4)显示了相互连接的蠕虫状弹性体通路,区域尺寸显著增大,弯曲度显著减小(图2f)。BA50和BA40的3D X射线显微镜图像显示了大面积均匀的3D互连相(灰色)的存在,证实了双连续结构的形成(补充图S4)。
此外,BA90和BA50横截面的低温透射电子显微镜(TEM)图像显示了弹性体主导结构和双连续结构之间的明显差异(补充图S5)。显然,就域的大小和SN相的连通性而言,BA与SN的体积比决定了PCEE的形貌,这对获得高离子导电性至关重要。
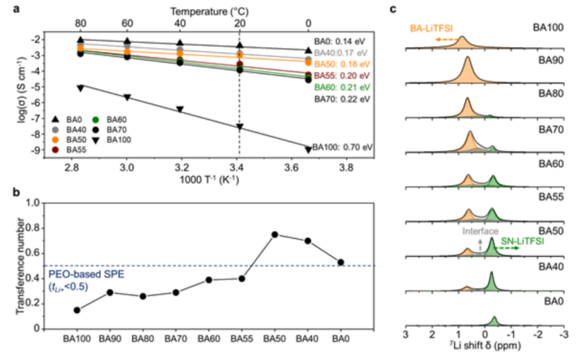
3.3 PCEEs的锂离子传输性质

【图3】PCEEs的锂离子传输特性。a) PCEEs,BA100和BA0的离子电导率与温度的Arrhenius图。b) PCEEs,BA100和BA0的锂离子转移数。c) PCEEs,BA100和BA0的7Li固态核磁共振谱。在适用的情况下,使用洛伦兹-高斯函数将光谱反卷积为三个峰值(橙色、灰色和绿色峰值分别对应于锂离子与弹性体、弹性体/SN界面和SN的相互作用)。
为了获得PCEEs的锂离子传输特性与其电化学性能之间的直接关联,将研究范围缩小到在环境温度下离子电导率超过0.1 mS cm-1的PCEEs。使用电化学阻抗谱(EIS)研究了不同温度下PCEEs的离子电导率(图3a)。具有双连续结构的BA50和BA40(区域4)在20℃时表现出超过1 mS cm-1的高离子电导率(BA50: 1.12 mS cm-1和BA40: 1.32 mS cm-1)。
这些离子电导率显著超过区域3中的PCEEs(BA55: 0.28 mS cm-1,BA60: 0.15 mS cm-1,和BA70: 0.12 mS cm-1)。尽管SN相具有二项依赖性,但Arrhenius和Vogel-Tammann-Fulcher都无法充分解释PCEEs的塑性-结晶相,但离子电导率对温度的依赖性可以用Arrhenius方程进行拟合,以了解锂离子在PCEEs中的扩散趋势。
BA100的活化能(Ea)为0.70 eV,PCEE的活化能随着fSN的增加而逐渐降低:即PCEEs的Ea按BA70(0.22 eV)、BA60(0.21 eV)、BA55(0.20 eV)、BA50(0.18 eV)和BA40(0.17 eV)的顺序减小。具有双连续结构的PCEE的Ea接近BA0(0.14 eV; 纯SN相),表明了离子对解离和局部离子跳跃的低激活势垒。
这些结果还表明,PCEE中离子传导和弹性体相的共连续存在并不影响塑料晶体相的锂离子输运性能。 锂离子迁移数(tLi+)定义为二元盐电解质的每法拉第电荷中锂离子迁移携带的离子电流的比率。高tLi+有利于需要大恒定电流为电池充电的快速充电操作。
使用Bruce-Vincent方法研究了PCEE、BA100和BA0的tLi+(图3b和补充图S6)。tLi+随着fSN的增加逐渐增加,直到BA50(BA100为0.15,BA90为0.29,BA80为0.26,BA70为0.29,BA60为0.39,BA55为0.4,BA50为0.75)。tLi+从BA50的0.75下降到BA0的0.53(纯SN相;1M LiTFSI SN)。
应该注意的是,BA50的tLi+为0.75,大大高于之前报道的基于PEO的电解质(tLi+<0.5)。为了更好地理解PCEE独特的锂离子传输行为,进行了7Li固态核磁共振(NMR)光谱分析(图3c)。在BA100的光谱中观察到一个0.9 ppm的7Li共振峰,该峰源于BA基弹性体的酯基与锂离子之间的相互作用。
在BA0光谱中在0.3 ppm处观察到的单个7Li共振峰归因于SN的腈基团和Li离子之间的相互作用。PCEEs的7Li共振被分解为三个峰,归因于锂离子与BA基弹性体(0.6 ppm),SN(0.3 ppm)和弹性体/SN界面(0.26 ppm)的相互作用。在BA50的光谱中,在0.3 ppm处的峰的强度超过在0.6 ppm处的峰的强度,这表明Li离子与SN相的相互作用比BA基弹性体更强。
SN分子具有非常高的介电常数(ε约为55),并能有效地解离锂盐。大部分SN分子采用构象动力学(即反式-间扭式异构)来传导Li离子,而SN相内高浓度的Li离子可以通过配体交换促进Li离子跳导,导致tLi+增加(图3b)。因此,考虑到BA50的tLi+超过BA0(0.53)的事实,假设BA50的特别高的tLi+是由于SN相内局部集中的Li离子所致。
然而,在BA60和BA70中的SN相含量降低的情况下,SN相中Li离子的相对峰值强度降低,因此,BA基弹性体中的Li离子浓度高于SN相。由于SN相中Li离子的浓度相对较低,难以促进SN相中Li离子的有效跳跃传导,导致相对较低的转移数(< 0.5)。
使用Debye图-假想阻抗作为频率的函数(电导率弛豫时间的倒数)-与洛伦兹函数拟合(补充图S7),进一步研究了PCEEs的锂离子传输机制。与区域3(BA70,BA60和BA55)的PCEEs相比,双连续PCEEs(BA50和BA40)的德拜峰最大值在更高的频率区域内出现,这表明它们与离子跳跃相关的更快的弛豫过程。
因此,具有低曲折度和低活化能的双连续PCEE可以促进锂离子沿三维互连的离子传导途径的快速扩散。
3.4 PCEEs的机械性能

【图4】PCEEs的力学性能。a) 100 mm min-1延伸速率下PCEEs的应力-应变曲线。b) 通过在a)中积分其应力-应变曲线确定的PCEEs的韧性值。c) 举起200g重量的BA50样品的照片。d) 在1 rad s-1角频率下PCEEs的动态存储(G')和损失模量(G")和损失正切。
SSEs的机械性能决定了它们能够耐受Li金属的大体积变化并抑制树枝状Li的生长。特别是,SSEs的高弹性被认为是增强SSEs在循环过程中稳定性的关键因素。利用万能拉伸机(UTM)获得了不同BA:SN体积比的PCEEs的应力-应变曲线,比较了它们的力学弹性。
由于BA基弹性体基体的优异弹性,具有fSN ≤ 0.50的PCEEs显示出类似的高延伸性(断裂伸长率> 300%),表明SN相很好地嵌入弹性体基体内(图4a和补充图S8)。这些PCEEs的出色弹性可以通过拉伸/回缩交联弹性体来适应Li金属循环过程中的大体积变化。
此外,柔软的弹性体可以共形包裹在Li金属表面,并具有良好的附着力,促进Li金属均匀沉积。相比之下,BA40的弹性体体积分数降低,其伸长率显著降低(断裂伸长率≈160%)。这是因为机械强度较弱的SN相周围的相互连接弹性体相体积分数相对较低,无法充分耗散拉伸过程中产生的高能量。
通过积分其应力-应变曲线比较了PCEEs的韧性(图4b)。随着fSN从0.5增加到0.6,PCEEs的韧性值显著降低,也就是说,0.50 MJ m-3的BA50的韧性明显高于BA40的0.10 MJ m-3,而BA40的韧性又比BA70低9倍。因此,0.50的fSN是PCEEs具有优异机械性能的临界体积分数。
BA50的高机械回弹性如图4c所示。具有20 mm2的横截面积的BA50样本能够重复地举起200 g的重量并返回到其原始状态,而BA40样本在举起100 g的重量的条件下撕裂(补充图S9)。
此外,图4d示出了根据动态剪切流变测量PCEEs在角频率为1 rad s-1时的存储(G')和损耗(G")模量和损耗正切(tanδ= G"/ G')。G'为储能,G"为热耗散能,分别代表PCEE中的弹性部分和粘性部分。它们的比值(损失正切)表明了G'和G"的优势,决定了PCEE的类固体行为。
以BA70为例,fSN为0.3时,存储模量显著超过损耗模量,反映了该PCEE的弹性。当PCEE的fSN从0.3(BA70)增加到0.5(BA50)时,G'和G"略有下降,但损失正切始终小于1(补充图S10)。
fSN进一步增加至0.6(BA40)时,模量显著减少,损失正切增加,以致其接近1,表明失去弹性。这些结果表明,fSN= 0.6是PCEE弹性受到塑性晶相体积显著影响的过渡点。
3.5 PCEE基锂电池的电化学性能

【图5】具有PCEEs的电化学性能。a) 具有PCEEs的对称Li电池的循环性能(嵌入图为不同时期的放大电压分布)。b) 在0.2 C (1 C = 200 mA g-1)下,在2.7-4.3 V的电压范围内,整个电池的循环性能。c) 在第100个周期具有各种PCEE的全电池的相应恒电流充电/放电(GCD)曲线。d) 根据以下类别的相对值识别平衡PCEE结构的综合图: 20℃下的离子电导率(黑色正方形),tLi+(蓝绿色圆圈),机械弹性(蓝色三角形),对称Li电池的电压滞后(绿色倒三角形),和100循环后全电池的容量保留(橙色菱形)。橙色阴影区域表示PCEE的平衡结构(即BA50)。
为了了解PCEEs中结构差异对Li可逆性的影响,使用各种PCEEs进行了对称Li电池测试(图5a)。在5 mA cm-2的高电流密度下,每周期镀/脱锂1 h,BA70电池由于其弹性体主导结构的锂离子输运性能较差,在第一个周期发生短路。具有BA60的电池在1000 h内锂可逆性显著提高,但在100 h内电压曲线呈“拱形”形状,在420和620 h后极化有两次显著增加(图5a和补充图S11),这可能与树突状或死锂的积累有关。
BA50的电池表现出良好的循环性能,在1000 h内极化低于10 mV。在BA50电池的电压曲线较为平稳,没有从早期到后期的电压曲线形状的演变(图5a的插图)。这个平稳期可以归因于BA50上相对较小的浓度梯度,根据其双连续结构和高tLi+,对应于快速Li离子传输的低曲折途径。
然而,由于其相对较差的机械稳定性,带有BA40的电池仅持续了375小时,也就是说,它无法防止锂枝晶渗透。考虑到电压曲线中有争议的方面,即循环过程中带有BA50的电池中的潜在短路,通过在五个循环后长时间内施加5 mA cm-2的电流密度,对Li进行完全耗尽的测试(补充图S12)。
具有BA50的电池在5 mA cm-2的电流密度和5 mAh cm-2的容量下,在5个循环(0-10 h)表现出持续低极化。随后,施加5 mAcm-2的电流密度使锂完全剥离18 h(450 μm厚Li)。剥离12小时后(累积容量约为60 mAh cm-2,锂约厚292 μm),极化急剧增加到180 mV时发生了短路。
这表明,与短路电池相比,BA50电池具有稳定的循环性能和低极化性能。此外,使用恒定电流操作在1 mAh cm-2的固定容量下测量PCEEs的库仑效率(CEs)(补充图S13)。在3 mAh cm-2的累积容量下,BA70、BA60、BA50和BA40的整个过程的CEs分别为93.4%、95.7%、99.5%和92.2%。
这些结果证明了通过三维互联、塑料晶体相平衡锂离子输运特性和通过弹性体基体平衡弹性对实现高稳定和可逆的镀/脱锂的重要作用。 通过电化学悬浮实验,考察了不同BA:SN比的PCEE的电化学稳定性。将PCEE与锂金属负极和NMC-83正极配对组装的全电池持续10小时充电至4.2至4.7 V(相对于Li+/Li)。
在超过4.5 V的高电压下,根据PCEE的fSN,电池显示出不同水平的漏电流。例如,在4.5 V时,采用BA50的电池在保持10小时后表现出小于5 µA的稳态漏电流,而采用BA40的电池的漏电流逐渐增加。这些结果表明,PCEE中耐高压弹性体基体的连接结构能够有效地抑制氧化反应,满足高压操作。
接下来,在0.2 C和环境温度下,2.7-4.3 V的电压范围内测试了具有各种PCEE的全电池的循环稳定性。经过100次循环后,BA70全电池保留了最高容量的54%(76 mAh g-1),平均CE为98.9%,BA60电池表现出更高的容量162 mAh g-1(其最高容量的87%),平均CE为99.3%(图5b)。
值得注意的是,具有BA50的全电池有着188 mAh g-1的高容量,并在第100个周期时保持了其最高容量的92.4%,具有99.5%的高CE(图5c)。
然而,具有BA40的电池的容量在100次循环后逐渐降低至37 mAh g-1(对应于20%的容量保持率),可能是由于BA40的不良机械性能。恒电流间歇滴定技术(GITT)进一步用于评估具有BA50和BA60电池的宏观锂离子扩散特性,其在100个循环后显示出相当的容量(BA50为174 mAh g-1,BA60在第100个循环为163 mAh g-1)(补充图S16a-b)。
用BA50循环的NMC-83正极的欧姆损耗的过电势和过电势差明显小于BA60(补充图S16c-d)。此外,与BA50(10-12-10-10 cm-2 s-1)循环的NMC-83正极在不同充电状态(SoC)点的锂离子扩散系数比BA60(10-13-10-11 cm-2 s-1)高10倍(补充图S16e)。
为了建立PCEEs的结构-性能-电化学性能关系,计算了以下类别的相对值:离子电导率,tLi+,机械弹性(断裂伸长率),对称Li电池的电压滞后,和100循环后的全电池的容量保留(图5d)。
BA50显示出优异的循环性能,锂离子输运和力学性能更为平衡,表明BA50具有最佳的PCEE结构。在1 C的高速率下进一步评估了BA50电池的循环稳定性,在250次循环后,电池容量保持在140 mAh g-1(最高容量的80%)(补充图S17)。
3.6固态锂金属电池的性能

【图6】固态锂金属电池的性能。a) 在0.1mA cm-2下,在2.7-4.3 V的电压范围内,具有BA50的全电池的负载依赖性GCD曲线。将13和16.5 mg cm-2的NMC-83正极与35 µm厚的Li金属负极配对制备全电池。b) 在环境温度(20-30℃)下,本研究中开发的全电池的比能量(橙色)和先前报道的具有聚合物(绿色),无机(灰色)的电池,和复合电解质(蓝色)。每个电池的比能是根据其重量(负极、固体电解质和正极)归一化的,不包括电池外壳和集流体的重量。c) 传统固态电解质和弹性电解质体系示意图。弹性电解质系统包括薄锂金属负极,薄PCEE和高负载NMC-83。
为了进一步利用最优化的PCEE(BA50)实现高能固态LMBs,对负极/正极容量(N/P)比< 2.7的全电池进行了电化学测试(35 µm厚锂负极,25 µm厚BA50,高负载NMC-83正极(>13 mg cm-2))。具有13和16.5 mg cm-2 NMC-83正极的全电池在0.1 mA cm-2下分别提供2.7和3.3 mAh cm-2的高容量(图6a)。
具有最高NMC-83负载量(16.5 mg cm-2)的全电池在0.3 mA cm-2下有着2.3 mAh cm-2的高容量(补充图S18)。复制电池进一步证明了BA50在高负载NMC-83正极下的稳定运行(补充图S19)。
根据负极,正极和固体电解质的重量,计算了环境温度下全固态LMB的比能量。具有BA50的全电池在环境温度下表现出437 Wh kganode+cathode+electrolyte-1(742 Wh kgNMC-83-1)的高比能,这在以前报道的使用聚合物、无机和复合电解质的电池中是最高值(图6b和补充表S1)。
基于PCEE的全电池的高比能可归因于薄Li金属负极和弹性体电解质的重量轻,其替代了通常用于固态LMBs中的过量Li金属负极和厚电解质(图6c和补充图S20)。预计通过从负极中最小化或消除Li金属(例如,无负极)并使用优化的富Li正极作为Li源,可以进一步增加电池的比能。
3、总结与展望
通过控制BA和SN相的体积比,制备了一种双连续结构的PCEE,该结构在交联弹性体基体中具有远程连通性的高效离子传导、塑料-晶体通道。具有不同BA:SN体积比的PCEEs的锂离子传输行为被分为四个与塑料晶相的互连性相关的区域。
塑料晶相的渗流阈值在区域2中,fSN在0.03和0.05之间,在区域4中形成了最佳的双连续结构PCEE(fSN≥ 0.5)。双连续结构的PCEE(BA50)表现出优异的锂离子传输性能(约1 mS cm-1; 在20°C下tLi+超过0.7),并且不会牺牲弹性体的机械弹性。
与具有其他BA:SN比率的PCEEs相比,基于BA50的Li║Li对称电池和全电池表现出显著改善的Li电镀/剥离性能,这揭示了平衡锂离子传输和机械性能对于优异的Li可逆性的重要性。使用此优化的PCEE(BA50),35 μm厚的Li负极和高负载NMC-83正极的全电池实现了437 Wh kg anode+cathode+electrolyte-1的高能量密度。
建立的弹性电解质体系的结构-性能-电化学性能关系为设计平衡锂离子输运和力学性能的SPEs提供了重要指导。
审核编辑:刘清
上一篇:开关电源各类保护电路实例分析