全球最实用的IT互联网信息网站!

AI人工智能P2P分享&下载搜索网页发布信息网站地图

当前位置:诺佳网 > 电子/半导体 > 电源和新能源 >

为何要运用LLC谐振电源以及如何实现零电压开关

时间:2019-06-10 15:52

人气:

作者:admin

标签: ZVS 

导读:为何要运用LLC谐振电源以及如何实现零电压开关-今年3月,使用氮化镓功率器件的ANKER 30W GaN PD 1充电器终于在国内上市,圆润小巧的体积却拥有30W输出功率,收获好评如潮。...
LLC谐振变换器的优势!电路分析架构如下:



第一,电路结构相对简单,有较高的效率。

第二,它可以在整个运行范围内,实现零电压切换(ZVS)。所有寄生元件,包括所有半导体器件的结电容和变压器的漏磁电感和激磁电感,都是用来实现ZVS 的,ZVS的实现具备的参数特性如何分解;首先看看电路的工作机理:

LLC架构的稳压原理;将上述电路架构进行参数等效分析:



A.输入电压或负载(RL)变化时引起VR电压变化

Zc=1/sCr   ZL=sLr  s=2лf

B.回路中确定Cr&Lr的参数:上述等效电路通过改变频率使1/sCr+sLr(1/2лfCr + 2лfLr)与Rac的分压相应改变,最终维持负载电压不变,即VR不变

当上面是有固定输入的PFC电压设计时,系统的负载变化时会造成系统工作频率的变化,当负载增加时, MOSFET开关频率减小,当负载减小时,开关频率增大。

其电路的特点:

1.LLC 谐振变换器可以在宽负载范围内实现零电压开关。

2. 能够在输入电压和负载大范围变化的情况下调节输出,同时开关频率变化相对很小。

3. 谐振变换器采用频率控制,上下管的占空比各近似为50%.电路工作没有偶次谐波分量,有好的EMI特性。

4. 无需输出电感,可以进一步降低系统成本。

5. 对于低压大电流设计如果输出采用同步整流MOS,可以进一步提升效率。



设计中对于谐振电容的最小值要求:

Cr电容充当直流电源:存储能量足以支撑Q2导通期间为负载提供能量

满载功率为Pomax,最大输入电压Vinmax,电容存储的能量=直流电源的在Q1导通期间提供能量满足如下公式要求:



Cr最小容值满足:



通过对LLC变换器ZVS状态下的模态分析:



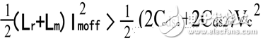
在开关管关断时刻,谐振槽路存储的磁能必须大于两个开关管输出电容完成一次充、放电所需的电能,表示为:



式中Imoff是Q1关断时刻磁化电感Lm的电流;节点Va处的总电容Czvs

为了防止直通现象,需要在两个驱动信号之间增加一个死区时间Td,确保一个开关管彻底关断后才允许另一个开关管开启!


为了达到ZVS,在两个MOSFET轮换开通之间存在死区时间TD。由于工作在感性区域,因此输入电流滞后于输入电压,当半周期结束时,谐振腔的电流Ir仍然在流入,这个电流可以消耗储存在Czvs上的电荷,从而使节点Va点的电压降为零,所以在另一个开关MOS开启时为零电压开通。

在半周期结束时,谐振电流腔中的电流必须可以保证在TD时间内,将Czvs的电荷消耗完,这就是ZVS的充分条件! 满足基本表达式如下:



通过表达式:减少Td意味着增加Imoff,使得开关损耗和导通损耗增加。上式就变为磁化电感最大值的限制条件;



对于LLC 谐振电路来说死区时间的初始电流:



LLC谐振变换器能够实现ZVS必须满足:



通过上面的表达式,我们可以通过以下三种方式让LLC实现ZVS.

第一, 增加IZVS.

第二, 增加死区时间。

第三, 减小等效电容Cds1&Cds2或者器件的Coss.

在实际我们调试时发现,在开机启动时LLC-谐振变换器启动时存在二极反向恢复硬开关问题;



LLC-谐振变换器启动时二极反向恢复/理论分析(如下示意图参考)



LLC-谐振变换器启动时的二极反向恢复硬开关问题,如何改善?



由于LLC工作状态是ZVS;建议尽量增大开通电阻Rg1on&Rg2on



LLC启动时上管的D1反向恢复回路通过设计高频C 降低电流

我们是否还有更好的方法?当然优秀的LLC设计控制IC也会是不错的选择的!!
温馨提示:以上内容整理于网络,仅供参考,如果对您有帮助,留下您的阅读感言吧!
相关阅读
本类排行
相关标签
本类推荐

CPU | 内存 | 硬盘 | 显卡 | 显示器 | 主板 | 电源 | 键鼠 | 网站地图

Copyright © 2025-2035 诺佳网 版权所有 备案号:赣ICP备2025066733号
本站资料均来源互联网收集整理,作品版权归作者所有,如果侵犯了您的版权,请跟我们联系。

关注微信