时间:2019-06-26 15:52
人气:
作者:admin
今天在进行《磁性元件与开关电源设计技术》企业内训时;在开关电源设计技术-LLC设计调试技巧中对LLC的关键技术及易发生故障的状况进行了分析;
LLC谐振电源如何实现ZVS应用及设计技巧提供参考!
LLC谐振变换器的优势!电路分析架构如下:

第一,电路结构相对简单,有较高的效率。
第二,它可以在整个运行范围内,实现零电压切换(ZVS)。所有寄生元件,包括所有半导体器件的结电容和变压器的漏磁电感和激磁电感,都是用来实现ZVS 的,ZVS的实现具备的参数特性如何分解;首先看看电路的工作机理:
LLC架构的稳压原理;将上述电路架构进行参数等效分析:

A.输入电压或负载(RL)变化时引起VR电压变化
Zc=1/sCr ZL=sLr s=2лf
B.回路中确定Cr&Lr的参数:上述等效电路通过改变频率使1/sCr+sLr(1/2лfCr + 2лfLr)与Rac的分压相应改变,最终维持负载电压不变,即VR不变
当上面是有固定输入的PFC电压设计时,系统的负载变化时会造成系统工作频率的变化,当负载增加时, MOSFET开关频率减小,当负载减小时,开关频率增大。
其电路的特点:
1.LLC 谐振变换器可以在宽负载范围内实现零电压开关。
2. 能够在输入电压和负载大范围变化的情况下调节输出,同时开关频率变化相对很小。
3. 谐振变换器采用频率控制,上下管的占空比各近似为50%.电路工作没有偶次谐波分量,有好的EMI特性。
4. 无需输出电感,可以进一步降低系统成本。
5. 对于低压大电流设计如果输出采用同步整流MOS,可以进一步提升效率。

设计中对于谐振电容的最小值要求:
Cr电容充当直流电源:存储能量足以支撑Q2导通期间为负载提供能量
满载功率为Pomax,最大输入电压Vinmax,电容存储的能量=直流电源的在Q1导通期间提供能量满足如下公式要求:

Cr最小容值满足:

通过对LLC变换器ZVS状态下的模态分析:

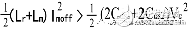
在开关管关断时刻,谐振槽路存储的磁能必须大于两个开关管输出电容完成一次充、放电所需的电能,表示为:

式中Imoff是Q1关断时刻磁化电感Lm的电流;节点Va处的总电容Czvs
为了防止直通现象,需要在两个驱动信号之间增加一个死区时间Td,确保一个开关管彻底关断后才允许另一个开关管开启!
为了达到ZVS,在两个MOSFET轮换开通之间存在死区时间TD。由于工作在感性区域,因此输入电流滞后于输入电压,当半周期结束时,谐振腔的电流Ir仍然在流入,这个电流可以消耗储存在Czvs上的电荷,从而使节点Va点的电压降为零,所以在另一个开关MOS开启时为零电压开通。
在半周期结束时,谐振电流腔中的电流必须可以保证在TD时间内,将Czvs的电荷消耗完,这就是ZVS的充分条件! 满足基本表达式如下:

通过表达式:减少Td意味着增加Imoff,使得开关损耗和导通损耗增加。上式就变为磁化电感最大值的限制条件;

对于LLC 谐振电路来说死区时间的初始电流:

LLC谐振变换器能够实现ZVS必须满足:

通过上面的表达式,我们可以通过以下三种方式让LLC实现ZVS.
第一, 增加IZVS.
第二, 增加死区时间。
第三, 减小等效电容Cds1&Cds2或者器件的Coss.
在实际我们调试时发现,在开机启动时LLC-谐振变换器启动时存在二极反向恢复硬开关问题;

LLC-谐振变换器启动时二极反向恢复/理论分析(如下示意图参考)

LLC-谐振变换器启动时的二极反向恢复硬开关问题,如何改善?

由于LLC工作状态是ZVS;建议尽量增大开通电阻Rg1on&Rg2on

LLC启动时上管的D1反向恢复回路通过设计高频C 降低电流
我们是否还有更好的方法?当然优秀的LLC设计控制IC也会是不错的选择的!!
更多设计应用实践及技术交流;请关注阿杜老师!
杜佐兵
电磁兼容(EMC)线上&线下高级讲师
杜佐兵老师在电子行业从业近20年,是国家电工委员会高级注册EMC工程师,武汉大学光电工程学院、光电子半导体激光技术专家。目前专注于电子产品的电磁兼容设计、开关电源及LED背光驱动设计。
2019年在电源网研讨会和大家一起进行交流!
下一站武汉,苏州,深圳,东莞……我的理论与实践分享等你们的到来;
与君探讨,我们不见不散!
如果对我以下的课程(课题)感兴趣,欢迎邀约和大家分享!

任何的EMC及电子电路的可靠性设计疑难杂症;先分析再设计才是高性价比的设计!
实际应用中电子产品的EMC涉及面比较广;我的系统理论及课程再对电子设计师遇到的实际问题进行实战分析!先分析再设计;实现性价比最优化原则!