时间:2019-06-26 15:49
人气:
作者:admin
一个高质量的开关电源效率高达95%,而开关电源的损耗大部分来自开关器件(MOSFET和二极管),所以正确的测量开关器件的损耗,对于效率分析是非常关键的。那我们该如何准确测量开关损耗呢?
开关损耗
由于开关管是非理想型器件,其工作过程可划分为四种状态,如图1所示。“导通状态”表示开关管处于导通状态;“关闭状态”表示开关管处于关闭状态;“导通过程”是指开关管从关闭转换成导通状态;“关闭过程”指开关管从导通转换成关闭状态。一般来说,主要的能量损耗体现在“导通过程”和“关闭过程”,小部分能量体现在“导通状态”,而“关闭状态”的损耗很小几乎为0,可以忽略不计。

图1 开关管四种状态划分
实际的测量波形图一般如图2所示。

图2 开关管实际功率损耗测试
导通过程损耗
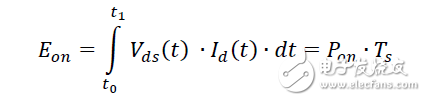
晶体管开关电路在转换过程中消耗的能量通常会很大,因为电路寄生信号会阻止设备立即开关,该状态的电压与电流处于交变的状态,因此很难直接计算功耗,以往的做法,将电压与电流认为是线性的,这样可以通过求三角形的面积来粗略计算损耗,但这是不够准确的。对于数字示波器来说,通过都会提供高级数学运算功能,因此可以使用下面的公式计算导通过程的损耗。

Eon表示导通过程的损耗能量;
Pon表示导通过程的平均损耗功率(有功功率);
Vds、Id分别表示瞬时电压和电流;
Ts表示开关周期;
t0、t1表示导通过程的开始时间与结束时间。
关闭过程损耗
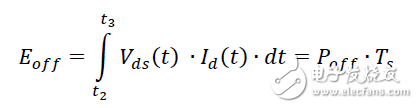
关闭过程损耗与导通过程损耗计算方法相同,区别是积分的开始与结束时间不同。

Eoff表示关闭过程的损耗能量;
Poff表示关闭过程的平均损耗功率(有功功率);
Vds、Id分别表示瞬时电压和电流;
Ts表示开关周期;
t2、t3表示关闭过程的开始时间与结束时间。
导通损耗
导通状态下,开关管通常会流过很大的电流,但开关管的导通电阻很小,通常是毫欧级别,所以导通状态下损耗能量相对来说是比较少的,但亦不能忽略。使用示波器测量导通损耗,不建议使用电压乘电流的积分的来计算,因为示波器无法准确测量导通时微小电压。举个例子,开关管通常关闭时电压为500V,导通时为100mV,假设示波器的精度为±1‰(这是个非常牛的指标),最小测量精度为±500mV,要准确测量100mV是不可能的,甚至有可能测出来的电压是负的(100mV-500mV)。
由于导通时的微小电压,无法准确测量,所以使用电压乘电流的积分的方法计算的能量损耗误差会很大。相反,导通时电流是很大的,所以能测量准确,因此可以使用电流与导通电阻来计算损耗,如下面公式:

Econd表示导通状态的损耗能量;
Pcond表示导通状态的平均损耗功率(有功功率);
Id分别表示瞬时电流;
Rds(on)表示开关管的导通电阻,在开关管会给出该指标,如图2所示;
Ts表示开关周期;
t1、t2表示导通状态的开始时间与结束时间。

图3 导通电阻与电流的关系
开关损耗
开关损耗指的是总体的能量损耗,由导通过程损耗、关闭过程损耗、导通损耗组成,使用下面公式计算:

开关损耗分析插件
高端示波器通常亦集成了开关损耗分析插件,由于导通状态电压测量不准确,所以导通状态的计算公式是可以修改的,主要有三种:
UI,U和I均为测量值;
I2R,I为测量值,R为导通电阻,由用户输入Rds(on);
UceI,I为测量值,Uce为用户输入的电压值,用于弥补电压电压测不准的问题。
一般建议使用I R的公式,下图是ZDS4000 Plus的开关损耗测试图。

图4 开关损耗测试结果图
总结
开关损耗测试对于器件评估非常关键,通过专业的电源分析插件,可以快速有效的对器件的功率损耗进行评估,相对于手动分析来说,更加简单方便。对于MOSFET来说,I2R的导通损耗计算公式是最好的选择。