时间:2019-02-12 10:03
人气:
作者:admin
工业、汽车、IT和网络公司是电力电子、半导体、器件和系统的主要购买者与消费者。这些公司使用各种可用的DC-DC转换器拓扑结构,采用不同形式的降压、升压和SEPIC结构。理想情况下,这些公司会针对每个新项目使用专门的控制器。
然而,采用新芯片需要大量投资,因为必须花费很多时间和成本来测试新器件是否符合汽车标准,以及验证其在特定应用、条件和设备中的功能。显然,为了降低开发和设计成本,不同应用应采用已经过批准和验证的控制器。
用于生成电源的最常用拓扑结构是降压转换器。但是,这种拓扑结构仅限于从高于输出的输入电压产生正输出。当输入电压低于输出电压时,不能直接利用它来产生负电压或提供稳定的输出。产生输出的这两个方面在汽车电子中均很重要,因为需要负电压来为放大器供电,或者当输入电压轨显著降低时,在冷起动的情况下整个系统必须连续正常工作。今天我们详细介绍在SEPIC、Cuk和升压转换器中使用简单降压控制器的方法。
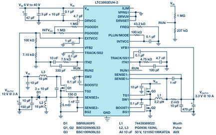
图1显示了基于单个降压控制器(具有两路输出)的双极性电源设计。

图1. LTC3892的电气原理图,可产生正负电压。VOUT1为10 A、3.3 V,VOUT2为3 A、-12 V。
为了最大限度地利用该芯片,必须使用一路输出来产生正电压,使用第二路输出来产生负电压。此电路的输入电压范围为6 V至40 V。VOUT1产生10 A、3.3 V的正电压,VOUT2产生3 A、-12 V的负电压。两路输出均由U1控制。第一路输出VOUT1是简单的降压转换器。第二路输出的结构更复杂一些。VOUT2相对于GND为负,故使用差分放大器U2来检测负电压并将其调整为0.8 V基准电压。在这种方法中,U1和U2均以系统GND为基准,这大大简化了电源的控制和功能。如果需要其他输出电压,以下表达式有助于计算RF2和RF3的电阻值。
|
|
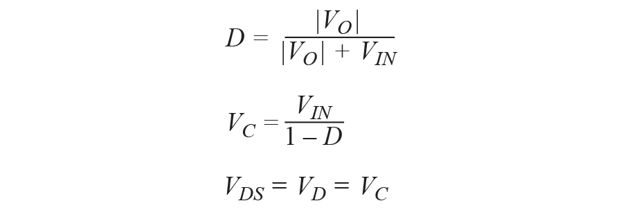
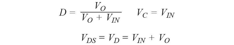
VOUT2电源系采用Cuk拓扑结构,相关技术文献中对此有广泛介绍。 为了解电源系元件上的电压,需要使用以下基本公式。
![]() |
VOUT2效率曲线如图2所示。在本例中,LTC3892转换器的输入为10 V至20 V。输出电压为10 A、 +5 V和5 A、-5 V。

图2. 14 V输入电压时负输出的效率曲线。
图3所示转换器的电气原理图支持两路输出:VOUT1为10A、3.3 V,VOUT2为3 A、12 V。输入电压范围为6 V至40 V。

图3. SEPIC结构的LTC3892在降压应用中的电气原理图。
VOUT1以类似方式创建,如图1所示。第二路输出是SEPIC转换器。与上面的Cuk一样,该SEPIC转换器基于非耦合的双分立电感解决方案。分立扼流圈的使用显著扩大了可用磁性材料的范围,这对于成本敏感型器件非常重要。
![]() |
图4和图5显示了该转换器在电压下降和达到尖峰时(例如在冷起动或电源切断时)的功能。轨电压VIN围绕相对标称值12 V下降或上升。但是,VOUT1和VOUT2均处于稳压状态,为关键负载提供稳定的电源。双电感SEPIC转换器可以轻松重新连接成单电感升压转换器。

图4. 轨电压从14 V降至7 V,VOUT1和VOUT2均处于稳压状态。

图5. 轨电压从14 V升至24 V,但VOUT1和VOUT2均处于稳压状态。
上文介绍了基于降压控制器构建双极性和双输出电源的方法。这种方法支持在降压、升压、SEPIC和Cuk拓扑中使用相同的控制器,这对于汽车和工业电子供应商来说非常重要,因为一旦经过核准,他们便可基于同一控制器设计出提供各种输出电压的电源。