时间:2018-12-21 14:14
人气:
作者:admin
在很多应用中,尤其是测试和测量领域,您都需要借助外部装置或数字模拟转换器设置反相降压/升压稳压器的输出电压。在常规的降压拓扑中,这种操作很简单:只需要借助一个带有串联电阻器的电压电源、一个电流源或者一个DAC将电流导入反馈节点,如图1所示。

1.采用降压拓扑的可编程电压
但是,如果您需要改变降压-升压拓扑中的电阻器的电压,就有一点麻烦了。
您可以通过反相接地和VOUT电位并使集成电路的参考位于-VOUT电位而配置降压-升压拓扑中的降压稳压器。也就是说稳压器集成电路的接地脚位于-VOUT。由于稳压器的FB引脚位于-VOUT电位而非接地电位上,将电流导入FB引脚便有一点棘手。为将电流导入反相降压-升压拓扑中的FB引脚,您需要电平移动电压源/DAC的信号。在本文中,我将向大家介绍一些不同的方法。
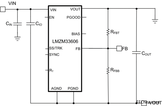
以德州仪器的LMZM33606为例。LMZM33606是一个额定输入电压为36V的降压电源模块,最大负载为6A。 图2说明了如何将LMZM33606设置为反相降压-升压稳压器。

2.利用LMZM33606反相降压-升压。
方法1:使用一个PNP的电平位移器
在这些降压-升压应用中使用LMZM33606时,可以实现-15V至-5V的可编程输出电压范围。通过电流源方法,您能够以绝对量级调低稳压器的输出。这样,在设置反馈分频器电阻器时,便可以将设计的默认输出设为-15V。添加外部电流源时,您可以将稳压器输出设置为-5V。默认输出为-15V时,计算的高反馈值和低反馈值分别为:
• RFBT = 100kΩ。
• RFBB = 7.42kΩ。
电平位移接地参考信号以将电流导入FB引脚的最简单的方法是,使用单PNP型双极性晶体管(BJT)。图三说明了如何将一个单PNP作为电平位移器使用。

3.使用单PNP的部署。
PNP Q1的基极接地,反射极通过电阻器连接DAC/电压源。电压源高于PNP基地发射下拉(VBE)时,会产生等式1所述的电流:

Rext设定为50kΩ。FB节点可以应用基尔霍夫电流定律,您可以使用等式2计算电流IX:

在等式2中代入等式1,得出等式3,由此可以计算出调整输出电压VOUT所需的编程电压VX:

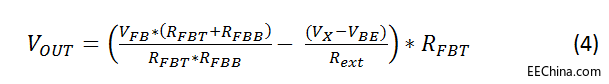
将等式3变成等式4,可以得出根据VX值进行变成的VOUT:

等式4说明了VOUT对晶体管VBE的从属关系。晶体管VBE本身取决于集电极电流,随温度变化时,会影响编程VOUT的精确度。
下一个方法说明了如何从等式中移除VBE。图4所示是一个有两个PNP晶体管的电路,所采用的连接方式可以抵消VBE的影响。
方法2:使用两个PNP的电平位移器

4.使用两个PNP抵消VBE的部署。
本方法需要使用两个PNP,最好是使用两个组合包装的PNP BJT,以确保两个晶体管之间匹配良好。本方法还可以减少输出电压编程中的错误。
Q1晶体管的基极连接至程控电压源。发射极经由一个串联电阻器RS连接至另一个正电轨,并且集电极接地。这样便可以在晶体管的发射极形成一个VX + VBE电压。Q2晶体管的发射极通过电阻器RX连接至Q1的发射极。RX设置导入FB节点的电流。基极接地后,Q2发射极节点产生一个+VBE。等式5计算了流至发射极的电流(理想情况):

之前曾解释过,晶体管的VBE取决于集电极电流,如等式6所述:

其中IC为集电极电流,IS为饱和电流,VT为热电压。
如果两个晶体管的集电极电流差异较大,则VBE不会完全彼此抵消。等式7阐述了晶体管两个VBE之间的差异:

简化为等式8:

其中X为两个集电极电流的比率。
如您所见,如果两个集电极电流相同,则VBE将完全抵消。在图4所示的配置中,设定RS的值时,需要确保集电极电流之间的差异不是太大。在本例中,我选择的RS为10kΩ,RX为50kΩ。VBE的增量也会随着VT而变化,它会随着温度变化而发生。
方法3:改良版威尔逊电流镜
使用电流镜匹配集电极电流是一个非常有效的方法。对此,相比常规的电流镜,威尔逊电流镜是一个更好的选择。图5是威尔逊电流镜中使用的原理图。

5.使用威尔逊电流镜部署
本方法中,有另外一个BJT,基极连接至Q1的集电极。Q3的发射极连接至电流镜的VBE结点。程控电流经Q3晶体管的集电极流至FB引脚。
现在可暂时忽略电阻器RB,等式9按照以下方式计算导入本设置中的参考电流:

等式10得出了导入电流与参考电流的比率。

在晶体管的增量() 为较大的值时,可以看到威尔逊电流镜的精度远高于标准电流镜。
威尔逊电流镜不会完全消除对VBE的依赖性。但可以通过一个简单的方法避开。将电阻器RB从源VX连接至电流镜基极,如图5所示,形成一个添加至参考电流IX的电流。将等式9改写为等式11:

等式12选择RB:

等式13:

等式13中的VBE组件完全抵消,得出等式14:

等式14说明,导入FB节点的电流仅基于程控电压,不受VBE影响。
无论使用哪一种方法,都可以借助少数几个组件为反相电轨创建一个程控输出电压。电路的复杂性依具体的系统要求而异。对于要求极高保真度的应用,威尔逊电流镜是最佳的解决方案,因为它可以得出与程控电压最接近的响应。