时间:2023-07-11 14:53
人气:
作者:admin
负反馈特性主要包括:能够减小增益变化率敏感性,能够改善输入输出阻抗,能够扩展频率带宽,以及减小电路的非线性和噪声等等。本小节主要介绍负反馈增益变化不敏感性和端口阻抗变化两种特性,负反馈闭环电路的非线性降低特点将在“非线性”章节中具体描述;负反馈对电路噪声性能的改善特性将在“噪声”章节中仔细剖析。
增益变化率不敏感性
集成电路中,器件跨导gm和输出阻抗ro都会随着工艺、电源电压和温度等参数波动发生变化,从而造成放大器增益的波动。负反馈技术能很好的降低放大器增益波动对总体增益的影响。由公式(1)求导可得,
(9)
(10)
闭环增益的变化率Δ H ( s ) / H ( s )比开环增益的变化率Δ A ( s ) / A ( s )降低了(1 + * T* ( s ))倍。然而,这时闭环增益是开环增益的1 / (1 + * T* ( s ))倍,这是以牺牲增益为代价的。譬如,环路增益 LG ( s ) = − 100,开环增益的变化率为10%,那么闭环增益变化率降低为0.1%,此时闭环增益是开环增益的1/101倍,通过牺牲增益换取闭环增益变化率的不敏感性。
端口阻抗变化
负反馈四种组态中,反馈网络采样是电流串联和反馈网络反馈是电压串联都能够提高阻抗(1 + T )倍,即串联形式能够提高阻抗;反馈网络采样是电压并联和反馈网络反馈是电流并联都能够降低阻抗(1 + T )倍,即并联形式能够降低阻抗(1 + T )倍。

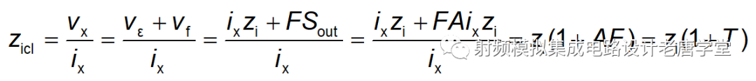
图6 串联形式的输入/输出阻抗电路,(a)串联输入,(b)串联输出
串联形式的输入阻抗电路如图6(a)所示,无论输出信号Sout是电压或者电流,A相应是电压增益或者跨导增益,F相应是电压增益或者跨阻增益,在输入端加电压激励源v x ,电流响应i x ,计算闭环输入阻抗z icl ,
(11)
串联形式的输出阻抗电路如图6(b)所示,输入信号Sin置零,无论输入信号S in 、反馈信号Sf和误差信号Sε都是电压或者电流,A相应是跨导增益或者电流增益,F相应是跨阻增益或者电流增益,在输出端加电流激励源i x ,电压响应v x ,计算闭环输出阻抗z ocl ,
(12)

图7 并联形式的输入/输出阻抗电路,(a)并联输入,(b)并联输出
并联形式的输入阻抗电路如图7(a)所示,无论输出信号Sout是电压或者电流,A相应是跨阻增益或者电流增益,F相应是跨导增益或者电流增益,在输入端加电流激励源i x ,电压响应v x ,计算闭环输入阻抗z icl ,
(13)
并联形式的输出阻抗电路如图7(b)所示,输入信号Sin置零,无论输入信号S in 、反馈信号Sf和误差信号Sε都是电压或者电流,A相应是电压增益或者跨阻增益,F相应是电压增益或者跨导增益,在输出端加电压激励源v x ,电流响应i x ,计算闭环输出阻抗z ocl ,
(14)
综上,串联形式提高阻抗(1 + T )倍,无论是在输入端口还是在输出端口;并联形式降低阻抗(1 + T )倍,无论是在输入端口还是在输出端口。
下一篇:负反馈的非理想因素分析