时间:2025-04-22 10:30
人气:
作者:admin
杂散电感对IGBT开关过程的影响(1)
1 简介
IGBT的开关损耗特性研究对IGBT变流器设计具有重要的意义,在有结构紧凑性要求或可靠性要求较高或散热条件特殊的场合,都需要严格按器件损耗特性进行大余量热设计以保证IGBT及IGBT变流器的温升在长期可靠性运行所允许的范围之内。IGBT 是主流中大容量/中高速器件,开关损耗特性研究得到一贯重视。作为典型MOS门极压控器件,其开关损耗主要决定于开关工作电压、电流、温度以及门极驱动情况等因素,系统的结构如主回路杂散电感会影响IGBT的开关特性,进而影响开关损耗,任何对其开关性能的研究都必然建立在实验测试基础之上,并在实际设计中尽量优化以降低变流回路杂散电感。

(a) 测试电路原理图

(b) 测试波形原理图
图1 功率开关开关性能测试平台原理
图1是典型的IGBT 开关特性测试平台工作原理,其基本形式是用IGBT、二极管、电感、直流电源组成斩波器,模拟各种开关工作状态,用于测试,电路如图1(a)。其中DUT 是被测试的带反并联二极管IGBT(Device Under Test),与完全相同的IGBT 组成一个桥臂,再串联以同轴电流传感器(Coaxial Shunt),跨于直流母线与参考电位(地电位)之间。DUT 的对管门极反偏以确保可靠阻断,这使得它仅仅担当一个二极管(D)的角色,用以续流,而电感L跨接在桥臂中点与母线上,作为斩波器的负载。DUT 的门极驱动则受控可调,一般按双脉冲形式组织,如图1(b)所示。在直流母线可用前提下,从t0 时刻开始DUT 被触发导通,直流电压施加于电感L 上,使得其电流从零开始线性上升,到时刻t1,DUT 电流(亦即电感电流)上升到所希望的测试值,关断DUT,可进行关断特性纪录测量。DUT 的阻断维持到t2 时刻,期间电感电流通过对管反并二极管续流,有轻微能量损失在续流二极管以及线圈电阻上,这一时间间隔程度选择必须足够长以满足关断性能测试的最短时间要求,同时又应该尽量短以减少电感电流因续流损耗而下降的幅度。t2 时刻DUT 再次开通,此时可在与t2 时刻类似的电压电流条件下进行器件开通特性测试。第二次导通持续到时刻t3,时间间隔因在满足开通测试稳定前提下尽量短,此后电感电流续流到自然衰减为零。类似电路应该具备母线电压调整功能、器件结温控制功能以及DUT 门极驱动条件调节能力、电压电流数据采集能力等等。几乎所有的器件厂商提供的开关特性数据都是基于以上结构、原理测试获得的。
2 实际测试平台分析
2.1 杂散电感分布在实际测试平台构建中必须认识到,以上结构、原理、分析仍然是基于理想条件下的,在实践中往往有所出入。实际电路与原理电路的区别通常表现在元件非理想特性以及分布参数两个方面,在这个例子里我们着重讨论分布参数对电路的影响。图2 是考虑分布杂散电感修改后的测试平台电路原理图。其中直流母线等效串联电阻忽略不计,其等效串联电感从拓扑上看串联于母线引线电感,固将其归并考虑。图中分别以Lp、Lc、Lg、Le 命名引线电感、IGBT集电极电感、门极驱动等效电感以及发射极电感。对于自建测试平台而言,进行测试的是完整商品化器件,与半导体厂商可以进行裸片测试想区别,导致器件引线电感难以忽略。另外,由于测试平台中驱动电路相对固定,Lg 对测试结果影响在阻尼驱动情况下可等效于驱动等效串联电阻,因此本文对其不加详述。图中需要注意的是地电位位置与测试器件开关特性的传感器接入位置:DUT 电压测量探头跨接于地与桥臂中点附近,电流传感器串联在DUT 发射极与地之间,这样的接法完全是出于共地安全考虑,它直接决定了图中所列各分布电感对测量结果影响的有无。
2.2 开关测试过程分析以 DUT 从阻断到导通再到阻断为一个典型工作循环过程来分析杂散电感参数的影响,可绘制原理波形图如图3 所示。

图 2 测试平台中杂散电感的分布情况

图 3 分布电感对测量波形的影响原理示意图
从 t0 时刻起门极关断信号发出,经过一段短时间器件延时,DUT 端电压于t1 开始上升,知道t2 时刻达到直流母线电压,在此期间由于极间电容类似抽流的密勒效应,门极电压呈现平台状。t2 之后续流二极管D 得以导通,DUT电流开始下降,而D 电流与之互补上升,这一过程在图中近似按线性过程绘出。按各自不同参考方向,Lp1、Lp4、Lc2、Le2、Lp5、Lp6 上承载的电流快速下降,而Lp2、Lc1、Le1、Lp3 的电流从零开始迅速上升,各自两端感应电势均遵循电工基本原理,与电感量以及电流变化率成正比,它们的物理本质是要为电流找到路径,必然将所存储能量转移到DUT 等效结电容上,形成一个电压尖峰ΔV1。然而,并不是所有这些感应电压都会反映到测量电压中来,由于测量点的安排,DUT 的集电极以及发射极分布电感电压以及其发射极与地之间分布电感Lp5 两端感应电压都不会被测得。因此用于功耗计算的管端电压瞬时值是要小于实际情况的,其解析表达为:

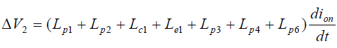
这一电压叠加在直流母线电压上,使得关断损耗Eoff 形成区间t1-t2-t3 中t2-t3 段电压增加,损耗功率增大,损失能量增加。应该正确理解的是,没有出现在公式里的三个电感量并不是不参与影响关断损耗,从主功率回路角度来看,它们对关断损耗的影响与上述分布电感是同向的,在实际测量中应当尽量减小这几个电感值。继续上述开关过程描述,DUT 稳定阻断情况下,门极导通信号于t4 时刻发出,经过短暂延时后,在t5 时刻管电流开始上升,这一过程同样近似认为是一个线性过程进行图示,DUT的电流上升对应D 电流下降,在分布电感上起到反方向效应:Lp1、Lp4、Lc2、Le2、Lp5、Lp6上承载的电流快速上升,而Lp2、Lc1、Le1、Lp3的电流迅速下降,这一过程同样感应出电动势,其总和为ΔV2,却并非叠加在管电压上,而是从其削去一块。其解析表达与ΔV1 形式上完全一致,其中括弧内部分可以总体定义为Lp,即效应在管电压测量中得以反映的主回路杂散电感:

同样按电压电流重叠造成开关损耗来分析,杂散电感使得器件开通期间管端电压有所降低,因此对器件开通损耗Eon 呈现削减效应。同样,没有在公式中得到体现的三个量并非不参与这个物理过程,在实际测量中应尽可能减小其数值以求测量精确。2.3 驱动回路寄生参数分析上述大量分布电感中,只有一个与其余较为不同,即DUT 的发射极杂散电感Le2。它不仅作用于主电流流经回路,也同时存在于驱动回路中,因此其感应电动势不但从增减管电压角度影响开关损耗,也从增减门极驱动电压的角度影响开关损耗。不难直观看到,由于门极驱动电压额定值低,在这方面的效应恐怕更为突出。在 DUT 关断期间,存在如下关系:

其中uge 是门极实际电压,udrive 是驱动电路施加在管脚上的电压。主电流快速降落在发射极杂散电感上感应出的电压在DUT 关断期间正向叠加在器件门极上,使得本该下降的门极电压下降趋势减缓,随之进一步延缓了关断过程。这样,Le2 感应电压从门极驱动电路作用延长了关断管电压、电流重叠时间,增加了关断损耗。考察相反开关过程,在DUT 开通期间,Le2 电流迅速上升,感应电动势方向相当于对驱动电压进行削减:

在开通期间,门极电压越迅速上升到饱和导通值开通管电压电流重叠时间越短,以上效应则是在这一过程中降低了门极电压,减慢了开通速度,拉长了开通电压电流重叠时间,对开通损耗的效应同样是增加。
龙腾半导体SGT MOSFET LSGT085R018在智慧农业无