时间:2024-01-19 18:25
人气:
作者:admin
MOSFET 对于现代模拟 IC 设计至关重要。然而,该文章主要关注 MOSFET 的大信号行为。模拟 IC 通常使用 MOSFET 进行小信号放大和滤波。为了充分理解和分析 MOS 电路,我们需要定义 MOSFET 的小信号行为。
什么是小信号分析?
当我们说“小信号”时,我们到底是什么意思?为了定义这一点,让我们参考图 1,它显示了逆变器的输出传输特性。

(图 1.逆变器的传输特性)
假设:
VIN和VOUT都是直流电压。
VIN的值表示我们在偏置点(标记为红色)进行操作。
在小信号分析中,我们在直流偏置电压之上施加一个非常小的交流信号(ΔVIN)。基于偏置点处传输特性的斜率(–AV)来放大产生的输出交流电压:

(方程式1)
请注意,由于坡度的方向,AV仅为负值。我们将在文章后面回到AV。目前,重要的结论是偏置点(大信号行为)影响输出信号接收的增益量(小信号行为)。
小信号参数
在我们对电路的行为建模之前,我们需要定义我们的参数。MOSFET的主要小信号参数为:
跨导(gm)
输出电阻(ro)
固有增益(AV)
体效应跨导(gmb)
单位增益频率(fT)
除了fT,我们在创建高频MOSFET模型之前不会讨论它,我们将在接下来的章节中定义和推导上述每个术语。我们将从I-V特性,跨导开始。
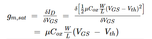
跨导
正如我们已经知道的,MOSFET将输入电压转换为输出电流。小信号输出电流与小信号输入电压的比率被称为跨导(gm)。我们还可以将跨导视为输出电流对栅极-源极电压的导数。
可以将线性区域的跨导定义为:

(方程式2)
对于饱和区域,为:

(方程式3)
那里:
ID是漏极电流
VGS是栅极到源极的电压
VDS是漏极到源极电压
Vth是阈值电压
μ是晶体管迁移率
Cox是栅极氧化物电容
W是晶体管的宽度
L是晶体管的长度。
这两个方程引出了几个有趣的点:
当处于线性区域时,晶体管的电流增益取决于输出电压。它完全不依赖于输入信号。这在实践中并不理想,因为增益在操作范围内会发生巨大变化。
在饱和时,跨导仅取决于输入电压。
对于给定的输入偏置电压,短而宽的器件使电流增益最大化。
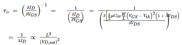
输出电阻
下一个感兴趣的参数是输出电阻(ro)。这被定义为晶体管的漏极到源极电压相对于漏极电流的变化。我们可以通过绘制漏极电流与VDS的关系来找到输出电阻。结果线的斜率等于ro的倒数。
让我们来看看图2中的图。我们在上一篇关于MOSFET结构和操作的文章中首次看到了这个数字,它帮助我们比较了NMOS和PMOS晶体管的漏极电流。

(图2:NMOS和PMOS晶体管的漏极电流与VDS的关系 W/L=10μm/2μm)
MOSFET在线性区域时具有小的输出电阻,而在饱和区域时具有大的输出电阻。在上图中,NMOS和PMOS晶体管都在~1.5V时进入饱和状态。
因为——正如我们在跨导中看到的那样——饱和区域提供了更好的小信号性能,所以我们只关心晶体管饱和时的输出电阻。我们可以将其计算为:

(方程式4)
其中λ是信道长度调制。
当考虑到饱和时I-V曲线的斜率由通道长度调制引起时,ro和λ之间的关系是有意义的。等式4还告诉我们:
• ro随着漏极电流(ID)而减小。
•由于上述原因,ro随着过驱动电压(VD,sat)而减小。
•ro随着晶体管长度(L)而增加。
固有增益
现在我们知道了晶体管的输出电阻和电流增益,就可以计算出它的最大电压增益。这也被称为晶体管的固有增益(AV)。为了更好地理解本征增益的概念,让我们检查图3中的共源放大器配置。

(图3 NMOS晶体管,配置为公共源极放大器)
由于理想的电流源具有无限大的电阻,因此该电路的小信号输出传递函数可以计算为:

(方程式5)
从方程3和4可以看出,gm和ro与漏极电流成反比。利用这些知识,我们可以找到漏极电流的最佳值,该值可以为单个晶体管产生尽可能大的增益—换句话说,就是其固有增益。对于现代工艺,固有增益通常在5到10之间。
身体效应跨导
我们需要推导的最后一个小信号参数是体效应跨导(gmb),它描述了体效应如何影响漏极电流。我们可以将其计算为:

(方程式6)
其中η是背栅跨导参数,其值通常在0到3之间。
低频和高频型号
既然我们已经定义了参数,我们就可以建立一个电路模型来表示晶体管的小信号操作。图4描述了MOSFET在低频下的小信号行为。

(图4 MOSFET小信号模型)
在更高的频率下,我们需要包括MOSFET的寄生电容(图5)。

(图5 具有寄生电容的MOSFET结构)
上述代表为:
•Cgs,栅极到源极电容。
•Cgd,栅极到漏极电容。
•Cgb,栅极到体电容。
•Csb,源-体电容。
•Cdb,漏极到体电容。
•图6中的小信号晶体管模型包括除体电容之外的所有这些非理想性。

(图6 带电容的MOSFET小信号模型)
从图6可以看出,图3中MOSFET的本征增益具有单极低通传递函数。我们现在可以计算晶体管的带宽,在这种情况下,它将是电压增益等于1(0dB)的频率。这被称为单位增益频率(fT)。
为了找到fT,我们将输出短路到地,并计算图6中的跨导。这样做会得到以下等式:

(方程式7)
从方程4和7中,我们可以看出,为了增加增益,我们需要增加晶体管的长度。然而,我们也看到,这会导致较低的带宽。反之亦然:减小晶体管的长度会得到更高的带宽。
审核编辑:刘清
上一篇:简述负反馈对放大电路性能的影响
下一篇:二极管电桥是如何工作的?
龙腾半导体SGT MOSFET LSGT085R018在智慧农业无