时间:2023-11-28 16:48
人气:
作者:admin
IGBT的结构中绝大部分区域是低掺杂浓度的N型漂移区,其浓度远远低于P型区,当IGBT栅极施加正向电压使得器件开启后,集电极、漂移区以及发射极(通过沟道,后文在MOS沟道效应时再详细讨论开启过程)会形成一个PIN结构,其中I是intrinsic的首字母,表示这个区域的掺杂浓度很低。

如上图所示,阳极对应IGBT中的集电极,阴极对应IGBT中的发射极。当阴极施加正电压时,PIN处于关断状态,根据前面的分析,阻断状态下主要由掺杂浓度更低I区域承受电压,不再赘述。重点关注阳极施加正电压,PIN处于开通状态的内部载流子工作情况。
在前面,我们讨论了半导体内部的存在固有的复合率,且随着载流子浓度的增加而增加。当PIN结构处于开启状态时,空穴从阳极、电子从阴极注入,所以器件内部的载流子浓度相应增高,从而载流子复合率也会上升。当器件处于稳态时,载流子的注入与载流子的复合应处于平衡状态。
假设处于稳态时的电流密度为
(电流回路中处处相同),空穴浓度分布
,电子浓度分布为
。根据电中性原则,
。由此,只需要推导出任意一种载流子浓度分布即可。下面以电子浓度为例做简要推导。
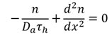
稳态状况下的载流子浓度不随时间变化,即
,所以连续性方程可表达为:

大注入下的载流子寿命。上式左边第一项为复合电流,第二项为扩散电流, 具体可参见第一章的微观电流,并利用了电中性条件下电场
。
需要注意的是,这里所采用的扩散系数
不同于自由电子的扩散系数
,
被称为双极型扩散系数,其物理解释如下:
半导体中电子和空穴总是成对产生,但是由于其质量的不同,导致其迁移率不同(电子迁移率约为空穴的三倍),从而在相同电场或者相同浓度梯度下,电子比空穴的运动速度更快,导致电子空穴对很快产生空间距离,根据异性电荷相吸的原理,空穴会受到一个与运动速度方向相同的库仑力,加快其运动速度,相反,电子会受到一个与运动速度方向相反的库仑力,降低其运动速度。整体表现为,电子的迁移率和扩散系数减小,而空穴的迁移率和扩散系数增大。

所以,在双极型器件工作过程中,电子的迁移率会降低,而空穴的迁移率会升高,新定义双极性迁移率和双极性扩散系数来表征这个综合效应,表达式如下(推导略),

由此,在稳态状况下,双极性器件的载流子迁移率为0,即没有漂移运动,其运动完全来自于扩散运动。
需要注意的是,上述表征是电子和空穴的综合效应,单独的电子和空穴是存在漂移运动的, 即电子和空穴的漂移运动相互抵消 。
回到扩散方程,其在一维空间的表达式为:

令,
,上述二阶微分方程的特征解为,

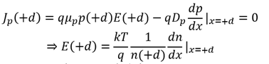
系数A和B的求解可借助阳极和阴极边界条件,显然,阴极界面
的空穴电流为0,而阳极界面
的电子电流为0。

上式推导利用了
,以及爱因斯坦关系式
将电场强度表达式代入
的电子电流表达式,即可得到电流与电荷浓度的关系,即为
的边界条件,

同理,在
的边界条件,

利用这两个边界条件,同时利用电中性条件,
,并近似认为电子的迁移率是空穴迁移率的3倍,可以得到载流子浓度与电流的关系如下(详细推导过程略去),


显然载流子在I区的浓度分布是非对称的,因为电子迁移率更大的缘故,载流子浓度最低值靠近阴极。
文末总结
1.稳态状况下的载流子浓度不随时间变化,可表达:

2.半导体中电子和空穴总是成对产生,但是由于其质量的不同,导致其迁移率不同。
3.利用了
,以及爱因斯坦关系式,可得到电流与电荷浓度的关系,在
的边界条件:

在
的边界条件:

4.得到载流子浓度与电流的关系如下:

上一篇:说说IGBT中PN结的导通状态
下一篇:IGBT中的PIN结构分析(2)
龙腾半导体SGT MOSFET LSGT085R018在智慧农业无