时间:2023-06-12 10:25
人气:
作者:admin
“有一说一”今天跟大家聊聊Matching PAD,这是一种特殊的阻抗匹配网络,由电阻构成,损耗较大,因此也相当于一个衰减器。
相对于电感、电容构成的阻抗匹配网络而言,Matching PAD具有更平坦的幅频响应、更好的阻抗匹配效果,广泛应用于广播、电视信号测试系统。
采用电阻设计匹配网络是很有讲究的,电阻毕竟会损耗信号,匹配网络中电阻太少起不到阻抗匹配的作用,电阻太多了损耗太大,会恶化系统性能。
幸运的是,存在一种最低损耗的匹配网络,通过两个电阻即可实现,通常称之为Minimum Loss PAD (MLP)。
下面就介绍一下这种电阻匹配网络的设计,以及如何选择电阻的阻值。

图1. 由电阻构建的Minimum Loss PAD
MLP阻抗变换网络的拓扑结构比较简单,就是由两个电阻构建的“L型”网络,如图1所示,如果要在左、右两个参考面处得到期望的阻抗,两个电阻值应该如何选取呢?
电阻值的确定需要根据欧姆定律计算,就是串并联阻抗的计算过程,具体推导过程不再详述,这里只给出结论。
考虑Z 1 > Z2~~ 和R的情况,则为了实现两个参考面处的阻抗匹配,需要的R12分别为

如何确定MLP的衰减度呢?
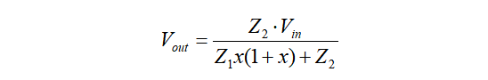
MLP衰减度的确定依然需要根据欧姆定律,结合图2所示的等效电路图,便可以确定输入、输出电压之间的关系,继而确定输入、输出功率之间的关系。
图2中R2与Z2并联,然后再与R1串联,假设输入电压为V in ,经过推导可得负载Z2上的分压为

式中x取值为

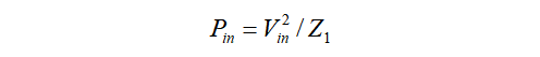
输入功率为

输出功率为

则衰减度为

将x代入上式并进一步化简得

这意味着MLP阻抗变换网络的衰减度为


图2. 引入Minimum Loss PAD后的等效电路图
对于50-to-75 Ω的阻抗变换设计,根据如上公式,可以确定电阻R1和R2分别为
R 1 =43.3 Ω
R 2 =86.6 Ω
则对应的理论损耗为 -5.72 dB。
值得一提的是,采用三个或更多个电阻同样可以实现阻抗变换,只是这种更高阶的电路意味着更大的损耗。而一个电阻无法实现阻抗变换,因此图1所示的这种网络是起到阻抗变换的最小衰减网络,这也是称之为Minimum Loss PAD的原因。
上一篇:选择合适的CMOS模拟开关
下一篇:聊一聊无源器件对热噪声的影响
龙腾半导体SGT MOSFET LSGT085R018在智慧农业无