时间:2023-02-25 12:05
人气:
作者:admin
本应用笔记旨在说明如何再生DS1847/48数字电阻校准常数。本应用笔记假设读者熟悉DS1847或DS1848数据资料中的查找表编程部分。本应用笔记将描述所需的测量,并显示重新生成校准常数所需的计算。最后,本应用笔记将展示一个电子表格计算器示例(可在本应用笔记末尾找到它的链接),一旦输入了多个测量值,该计算器可用于执行计算。
介绍
DS1847/48电阻校准常数由不同温度(25°C和95°C)的两个测试步骤计算并编程到EEPROM中。这些校准常数是唯一的,因设备以及批次而异。遗憾的是,在设计DS1847/48时,没有考虑使用校准常数,因此没有为校准常数提供额外的写保护或只读存储器。因此,当决定包括它们时,存储它们的唯一位置(至少对于DS1847而言)是在查找表(LUT)中。这里明显的问题是,当用户填充LUT时,工厂编程的校准常数会被覆盖。幸运的是,对于DS1848,校准常数的副本(虽然没有写保护)也存储在用户EEPROM中(表0)。如果使用DS1848,则在进一步读取之前,可能需要检查用户EEPROM中的校准常数是否仍然完好无损。
本应用笔记旨在说明如何再生DS1847/48校准常数。本应用笔记假设读者熟悉DS1847或DS1848数据资料中的查找表编程部分。本应用笔记将描述所需的测量,并显示重新生成校准常数所需的计算。最后,本应用笔记将展示一个电子表格计算器示例(可在本应用笔记末尾找到它的链接),一旦输入了多个测量值,该计算器可用于执行计算。
公约
本文档中用于表示校准常数的约定如下:
大写校准常数(U、V、W、X、Y 和 Z)是从器件读取的整数值,可以十进制或十六进制显示。这些需要乘以其相应的LSB权重以将它们转换为实际值,然后可用于计算。
小写校准常数是实数。在将实数写入DS1847/48之前,必须将实数除以其LSB权重转换为整数。
测量
为了重新生成校准常数,每个电阻的最小(位置00h)和最大(位置FFh)电阻需要在室温(25°C)和高温(85°C至95°C)下使用DS1847/48的温度测量。
虽然这些测量可以在“在线”进行,但有几个问题需要解决。首先,需要2线主机将DS1847/48置于手动模式,首先将电阻设置为位置00h,然后设置为位置FFh(或者通过将LUT编程到位置00h,然后是FFh来避免手动模式)。重要的是,如果是在线编程,要确保将电阻设置为这些极端不会损坏电路的任何部分。2线主站还需要读取DS1847/48在进行电阻测量时指示的温度。最后,也可能是最困难的,在进行在线测量时,需要在应用电路加载测量值的情况下测量两个电阻的最小和最大电阻,从而给出不准确的读数。一旦这些问题得到解决并进行测量,测量值的命名法如下。
测量(针对每个电阻器):
RMINC1、RMAXC1,并从器件C1读取温度(最好为25°C),以及
RMINC2,RMAXC2,并从零件C2读取温度(最好是85-95°C)。
其中:
RMINC1 是电阻在 C1 摄氏度时的位置 0(最小值)电阻,
RMAXC1 是电阻在 C1 摄氏度时的位置 FFh(最大值)电阻,
RMINC2 是电阻在 C2 摄氏度时的位置 0(最小值)电阻,
RMAXC2 是电阻在 C2 摄氏度时的位置 FFh(最大值)电阻,
C1 是从零件读取的温度 (~25°C),单位为 C,
C2 是从零件读取的温度 (~85-95°C),单位为 C。
计算
计算中使用的几个常数(不要与校准常数混淆)如表1所示。它们是器件的破折号版本以及被测电阻器的函数。常数w和z实际上是六个校准常数中两个的实值,剩余的4个(每个电阻)有待计算。
表 1.要在计算中使用的常量值
| -050 版本 | -010 版本 | |||
| 常数 | R0 (50kΩ) | R1 (10kΩ) | R0 (10kΩ) | R1 (10kΩ) |
| α | 3.78964 | 19.74866 | 8.4117 | 8.4117 |
| w | 1.265E-6 | 7.875E-6 | 7.345E-6 | 7.814E-6 |
| z | 5.808E-7 | 7.5E-7 | 506.7E-9 | 523.5E-9 |
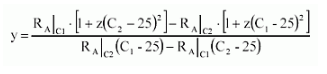
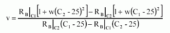
使用表1中的常数和测量值,公式1至8得出校准常数y、x、v和u的实际值的余数。这些方程必须按照提供的顺序工作,因为最初计算的值在后续方程中使用。然后,可以通过除以其 LSB 权重将实际值转换为整数等价物,得到 Y、X、V、U、W 和 Z。
算:
等式 1

等式 2

等式 3

等式 4

等式 5

等式 6

等式 7

等式 8

将实数值转换为十六进制整数:
Y = y / 10-7 = (十进制)(十六进制),电阻R0
Y = y / 10-7 = (十进制)(十六进制),电阻R1
X = x / 2-8 = (十进制)(十六进制) 对于电阻 R0
X = x / 2-8 = (十进制)(十六进制),电阻R1
V = v / 10-6 = (十进制)(十六进制),电阻R0
V = v / 10-6 = (十进制)(十六进制),电阻R1
U = u / 10-8 = (十进制)(十六进制),电阻R0
U = u / 10-8 = (十进制)(十六进制),电阻R1
W = w / 10-9 = 1.265E-6 / 10-9 = 1265(十进制) = 04F1(十六进制),电阻R0
W = w / 10-9 = 7.875E-6 / 10-9 = 7875(dec) = 1EC3(十六进制),电阻R1
Z = z / 10-10 = 5.808E-7 / 10-10 = 5808(十进制) = 16B0(十六进制),电阻R0
Z = z / 10-10 = 7.5E-7 / 10-10 = 7500(十进制) = 1D4C(十六进制) 电阻 R1
写入DS1847/48:
一旦计算出每个电阻的 U、V、W、X、Y 和 Z(以十六进制为单位),这些值就可以写入原始工厂校准常数最初位置的相应 LUT 的相应位置(在数据手册中说明)。电阻 0 校准常数存储在表 1 中,电阻 1 常数存储在表 2 中。对于DS1848,两组校准常数的备份存储在表0中。否则,人们可能希望将校准常数保持为真实形式,以便可以在客户的计算中用于对整个LUT进行编程。
电子表格计算器
随附的电子表格计算器大大简化了校准常数的计算(见图1)。只需在表格中填写测量值,即可立即计算校准常数,输出实值和整数值。只要确保根据破折号版本使用正确的常量(α、w 和 z)。然后可以将十六进制值写入设备,使其看起来像刚出厂。或者,实值可用于其他计算,以实现传递函数并重新编程LUT。

图1.DS1847/48校准常数计算器示例
结论
本应用笔记描述了在极少数情况下,DS1847/48需要恢复到出厂编程状态时,再生DS1847/48校准常数所需的测量和计算。测量完成后,可以使用随附的示例电子表格计算实数和整数格式的校准常数,以便对DS1847/48进行重新编程,使其类似于原始器件,或者将实际值保存在电子表格中并纳入客户的计算中以生成LUT。
砷化镓:郭婷
龙腾半导体SGT MOSFET LSGT085R018在智慧农业无