时间:2023-01-10 14:59
人气:
作者:admin
这一节继续对共射放大电路进行总结分析,直流工作点和交流放大倍数计算!
关键:共射放大器电路;

图1-1 共射放大电路
01直流工作点计算
首先在图1-1所示电路中,基极的直流电位为VB,是用电阻R1和电阻R2对电源电压Vcc进行分压后的电位,所以流进晶体管的基极电流的直流成分IB是很小的,可以忽略,则:

发射极的直流电位VE, 仅比VB低于基极-发射极间的电压VBE,如设VBE=0.6V,则VE为:

发射极上流动的直流电流IE为:

集电极的直流电压Vc为电源电压减去Rc的压降而算得的值,所以Vc为:

在式(1.4)中,基极电流为很小值时,所以可以忽略不计,则Ic=IE,所以式(1.4)可成为:

以上求得的各个部分的直流电位表示在图1-2中,如图所示:

图1-2 共射放大电路中各个部分的直流电位
02交流电压放大倍数的计算
接着求图1-1所示电路的交流放大倍数(交流增益)。
由于晶体管的基极-发射极间存在的二极管是在导通的情况下使用的(交流电阻为0),所以基极端子的交流电位直接出现在发射极,因此,由交流输入电压引起的输出电流的交流变化部分为:

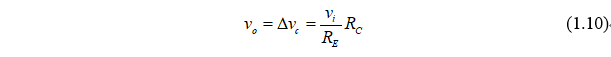
另外,令集电极电流的交流变化部分为△ie,则vc的交流变化△vc为:

进而认为,集电极电流=发射极电流,则:

所以:

另一方面,因用C2将vc的直流成分截去,所以交流输出信号vo即为△vc的本身:

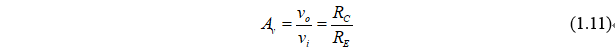
因此,该电路的交流电压放大倍数Av可为:

如式(1.11)所示,放大倍数Av与晶体管的直流放大倍数hFE无关,而是由RC与RE之比来决定的。 另外,RE的值增大,则放大倍数Av减小,所以可以认为该电路由RE加了负反馈,为此,称RE为发射极反馈电阻,由于负反馈,RE有抑制hFE的分散性和VBE的温度变化而产生的发射极电流变化的作用。 其求取方法如图2-1所示:

图2-1 电压增益图
上一篇:共射放大电路如何选择晶体管
龙腾半导体SGT MOSFET LSGT085R018在智慧农业无