时间:2023-01-10 15:28
人气:
作者:admin
这一期讨论下ClassAB放大器的功率问题。
关键:ClassAB放大器;
01ClassAB放大器中的功率问题
通过ClassAB放大器的直流工作点分析,可以知道其最大输出电流Ic(sat)、最大输出电压为VCEQ,而VCEQ=VCC/2,所有可得有效输出功率为:

由于ClassAB放大器中的每个三极管都只在正半周或者负半周时工作,只有半个周期,可以得到放大器的“平均”输入功率为:

于是可知ClassAB放大器的最大效率为:

对比ClassA放大器的最大效率只有25%,可见ClassAB放大器更符合新时代节能减排的目标,同时可以计算ClassAB放大器的输入阻抗的公式:

02ClassAB放大器功率实例计算
图2-1所示是一个典型的ClassAB放大器电路:

图2-1 ClassAB放大器
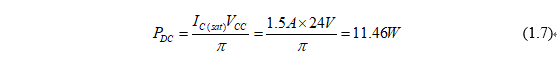
图2-1中Vcc=24V,那么可以求得Ic(sat)为:

于是可得有效输出功率为:

输入功率可以求得:

最后算的ClassAB放大器的效率为:

龙腾半导体SGT MOSFET LSGT085R018在智慧农业无