时间:2022-09-12 14:15
人气:
作者:admin
滤波器是一种电路,旨在抑制电信号中所有不需要的频率分量,只允许所需的频率。换句话说,滤波器是一种只允许特定频带的电路。
在许多应用中,电容滤波器比电感滤波器使用得更多,因为电感器会产生一些杂散磁场并消耗一些功率。不仅有这些缺点,而且如果在电路中使用电感器,滤波器会变得笨重。
此前已经介绍了关于滤波器和无源低通滤波器的一些知识。在本文中,小编将简单介绍RC无源高通滤波器电路图、频率特性及功能应用等内容。
基本概念
RC无源高通滤波器类似于无源低通滤波器。当低通滤波器电路中的电容和电阻位置互换时,电路表现出高通滤波器的行为。电容与电阻串联,输入电压串联施加到电容器,但输出仅通过电阻器。
RC高通滤波器允许高于截止频率“fc”的频率并阻止较低频率的信号。截止频率的值取决于为电路设计选择的元件值。这些高通滤波器在10MHz的高频范围内有很多应用。其简单的电路如下图所示:

由于电路中组件发生互换,电容器传递的响应发生变化,所以这些变化与低通滤波器的响应完全相反。低频下的电容器就像开路一样,而在更高的频率下,意味着在高于截止频率的频率下,电容器就像短路一样。由于电容器的容抗,电容器将阻挡进入电容器的较低频率。
众所周知,电容器本身会阻止一定量的电流通过它,以便在电容器的电容范围内结合。在截止频率之后,由于容抗值的降低,电容器允许所有频率。这使得电路在输入信号频率大于截止频率fc时将整个输入信号传递到输出端。
在较低频率下,电抗值增加,因此当电抗增加时,抵抗流过电容器的电流的能力增加。低于截止频率的频段称为“阻带”,截止频率之后的频段为称为“通带”。
另外,在上述电路中,只有一个带电阻的电抗元件,这表明该电路是一阶电路。
频率响应曲线特性
关于RC高通滤波器的频率和容抗响应曲线如下所示:

该响应曲线表明RC高通滤波器与RC低通滤波器正好相反。在高通滤波器中,直到截止频率,所有低频信号都被电容器阻挡,导致输出电压降低。在截止频率点,电阻器“R”的值和电容器“X_c”的电抗相等,因此输出电压以-20dB/十倍频程的速率增加,输出信号电平为输入信号电平的-3dB。
在非常高的频率下,容抗变为零,然后输出电压与输入电压相同,即Vout=Vin。在低频时,容抗为无穷大,因此输出电压为零,因为电抗会阻止电流进入电容器。
RC高通滤波器的输出在截止频率处相对于输入信号具有+45°的相移角 (ø),这表明高通滤波器的输出相对于输入信号是超前的。在高频 (f > fC) 下,相移几乎为零意味着输入和输出信号都是同相的。
在理想情况下,滤波器将允许截止频率点之后的频率为无穷大,但实际上,无穷大值取决于滤波器设计中使用的组件值。此外,电容器相对于输入信号对极板充电和放电所花费的时间导致相位差。电阻与电容串联会产生充放电效果。
串联RC电路的时间常数定义为电容器充电到最终稳态值的63.2%所用的时间,也定义为电容器放电到稳态值的36.8%所用的时间。这个用符号“τ”表示。时间常数与截止频率的关系如下:
时间常数τ=RC= 1⁄2πfc,ω_c= 1/τ = 1/RC。
很明显,滤波器的输出取决于在输入端应用的频率和时间常数。截止频率' fc' = 1/ 2πfc,相移 (ø) = tan-1(2πfRc)。
输出电压和增益
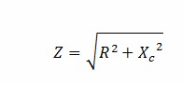
RC高通滤波器电路阻抗为:

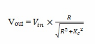
输出电压为:

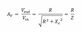
所以,RC高通滤波器的输出电压和增益可以表示为:

简单示例
现在考虑一个电容值为82pF,电阻值为240 kΩ的高通滤波器。那么,通过这些值可以计算滤波器的截止频率为:fC= 1/(2πRC) = 1 / (2π x 240 x 103x 82 x 10-12) = 8.08 kHz。
二阶无源高通滤波器
通过级联两个一阶高通滤波器,可以得到二阶RC高通滤波器。由于它由两个电抗元件组成,这意味着有两个电容器,使电路成为二阶电路。这种两级滤波器的性能等同于单级滤波器,但滤波器的斜率在-40dB/十倍频处获得。
这是因为截止频率的变化。与一阶RC高通滤波器相比,它更有效率,因为它有两个存储点。

对于二阶滤波器,截止频率将取决于两个电容器和两个电阻器的值。可以通过公式给出:fc= 1/ (2π√(R1C1R2C2)) Hz。
简单总结
RC高通滤波器允许大于截止频率的频率到无穷大。在实际情况下,无穷大不存在,因此该无穷大值取决于电路设计中使用的组件。高通滤波器允许的频带称为“通带”,该通带只不过是滤波器的带宽。被滤波器衰减的频带称为“阻带”。
此外,截止频率是使用上面的“fc”公式计算而来。输出信号的相移以+45°的角度领先于输入信号。输出电压将取决于时间常数和应用于电路的输入频率。
与RC低通滤波器相比,高通滤波器消除的失真更准确,因为电路中使用了高频。
RC高通微分器
对于正常的正弦波输入,滤波器的性能就像一阶高通滤波器。但是,当应用不同类型的信号而不是正弦波(如方波)时,它会给出时域响应(如阶跃或脉冲)作为输入信号,这种情况的电路行为就像一个微分器电路。
因此,输入的导数与电路的输出成正比的电路称为微分器电路。

这样候,当向电路施加恒定输入时,输出变为零,因为该常数的导数趋于零。RC微分电路如下图所示:

可以看出,对于方波输入信号,输出波形显示为持续时间短的脉冲。对于一个完整的输入周期,会出现两个具有正脉冲和负脉冲的尖峰信号。在这个过程中,输出信号的幅度不会发生变化。如果输入信号频率增加,则输出处的脉冲宽度会增加。尖峰脉冲的衰减率取决于时间常数。
主要应用
可用于音频放大器电路中,作为高音频交叉频率的一部分,通过阻止低音信号到高音扬声器类型的信号。
用作隆隆声滤波器以阻止附近不需要的信号并在扬声器中传递所需的信号。
用于交流耦合电路和微分电路。
在每个通道条的混音过程中,会添加这些高通滤波器。
在图像处理中,高通滤波器用于在编辑需要高增强滤波器的去锐化过程中。
在图像处理中,可以在时域或频域中进行降噪。因此,与低通滤波器相结合,这些高通滤波器用于图像处理中的图像增强、噪声抑制和修改。
在电话应用中,这些用于与低通滤波器组合的DSL分配器。
总结
简单来说,RC无源高通滤波器就是使用无源元件电阻器和电容器组合成的滤波电路,主要作用就是通过那些频率高于截止频率的信号从而衰减较低频率的信号,截止频率的值取决于滤波器的设计。这里的电容器是电抗元件,输出仅通过电阻器。
上一篇:过功率保护简述
龙腾半导体SGT MOSFET LSGT085R018在智慧农业无