时间:2023-08-14 09:21
人气:
作者:admin
一、单相全桥逆变器是什么?
单相全桥逆变器基本上是电压源逆变器,单相全桥逆变器的电源电路图下图所示。为了简单,没有标出SCR触发电路和换向电路。
单相全桥逆变器采用 2线直流电源 、4个续流二极管和 4个可控硅 。
T1和可T2同时导通,其频率为f=1/T。同样,T3 和 T4同时开启。
(T1和T2 )和(T3和T4)的相位差有180℃。

单相全桥逆变器
二、单相全桥逆变器电路工作原理
单相全桥逆变器的工作分为 4种模式 :
模式Ⅰ:(t1< t < T/2) T1、T2 导通
模式 II:(T/2 < t < t2) D3、D4 导通
模式 III:(t2 < t < T) T3、T4 导通
模式 IV:(0 < t < t1) D1、D2 导通
1、模式Ⅰ(t1< t < T/2)
T1和T2触发脉冲,T1和T2同时导通,负载电压变为+Vdc。应用KVL:Vs – V0 = 0,输出电压Vo=Vs。
负载电流的路径为: (+)Vdc-T1-负载- T2-Vdc(-)。
在时刻T/2,输出电流达到最大值,由于电压和电流的极性相同,晶闸管T1在此时关断。在此期间,负载电流和负载电压变为正值,因此功率从电源流向负载。

模式Ⅰ(t1< t < T/2)
2、模式 II (T/2 < t < t2)
在此模式下,一旦T1 和T2关闭,负载上的电压极性就会因感性负载而发生变化。
当二极管 D3 和 D4 导通时,负载电流流经路径:D3 -(+)Vdc-Vdc(-)-二极管 D4。
在此模式下,功率从负载流向电源。

模式 II (T/2 < t < t2)
3、模式III(t2 < t < T)
在此模式期间, T1 和 T2 关闭,而 T3 和 T4开启 。
负载两端的电压 变为 -Vdc , 电流流经路径 :(+)Vdc - T3-负载-T4-Vdc(-)
由于在此期间负载电压和负载电流均为负,因此 功率通过电源流向负载 。

模式III(t2 < t < T)
4、模式 Ⅳ (0 < t < t1)
在此模式下,当 T3 和T4 关闭时, 负载两端电压的极性会发生变化。
由于二极管D1 和 D2导通,负载电流流经路径:二极管 D1-(+)Vdc-Vdc(-)- 二极管 D2-负载。
在此模式下,当负载电流方向反转时, 功率从负载流向电源 。

三、单相全桥逆变波形
这里S1、S2、S3、S4也就是T1、T2、T3、T4。
1、当负载为:负载为R、L、RL
1)纯(电感负载)L 负载:
电流 Io 关于 t 轴对称,因此直流分量 = 0,并且电流从最小峰值电流 (-Ip) 到最大峰值电流 (+Ip) 呈线性。在这种情况下:
D1 和D2在0
T/4
T/2
S3和S4在3T/4
2)L负载(0
V=Vdc=Ldi/dt
L[Ip-(-Ip)]/T/2=Vdc
Ip=Vdc/4fL
3)RL 负载
负载从 (-Ip 到 +Ip) 呈指数上升 。在这种情况下:
D1和D2在0
S1和S2在T/4
D3和D4在T/2
S3和S4在3T/4
负载为R、L、RL
2、当负载为纯阻性负载
输出电压(U0)和输出电流(I0)波形如下:
Ig1和Ig2为门脉冲,用于接通 S1、S2和S3、S4。
对于阻性负载,在 0
对于电阻负载,在 0
负载为纯阻性负载
3、任何负载的输出电压(U0)波形
负载的输出电压(U0)波形
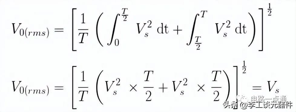
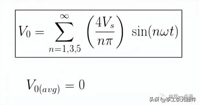
对于任何类型的负载, 输出电压波形将保持相同 ,但电流波形取决于负载的性质。
输出电压波形是半波对称的,因此 不存在所有偶次谐波 。
四、单相全桥逆变优点
电路中无电压波动
适合高输入电压
高效节能
功率器件的额定电流等于负载电流。
审核编辑:汤梓红



