时间:2023-04-10 10:54
人气:
作者:admin
如本基准电压源系列的前几篇文章所述,使用运算放大器反馈和基准电压源产生任意幅度的直流电流是一个简单明了的过程。到目前为止,我们已经讨论了几种外部运算放大器架构,以实现电流源和灌电流的单个或网络。在本系列的最后一部分中,我们将讨论一种利用基准电压源本身反馈的架构。让我们首先考虑基准电压源的符号及其实际功能框图,如下图1所示。

图1:基准电压源及其功能框图
我们借用了齐纳二极管的符号,因为这本质上是基准电压源的行为方式;然而,这种行为是通过巧妙的设计而不是简单的设备物理来实现的。考虑在之前的帖子中使用的自参考(阴极参考连接)配置,如下图2所示。

图 2:基准电压典型操作
那么,关于这种设置,我们能说些什么呢?首先,我们可以大大简化和定义图2中所有电流的情况,如公式1所示。

也就是说,我偏见是运算放大器静态电流的总和,IQ和发射极电流 i和,双极结型晶体管 (BJT)。公式2进一步简化了这一过程,承认在正常工作期间,运算放大器静态电流与发射极电流相比可以忽略不计。

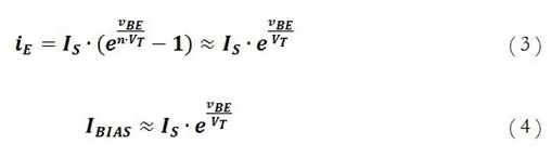
公式3和4定义了发射极电流,从基极-发射极结的二极管方程开始,假设正向偏置操作具有标称理想因数。

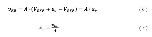
如上式4所示,必须存在一些基极-发射极电压来维持IBIAS。这当然意味着图 2 中的 vref 和 VREF 之间存在非零差异;我们将通过公式5中的VREF和小扰动电压εv来解释这一点。

我们现在可以定义ε在基极-发射极电压和运算放大器增益如公式6和7所示。

显然,在理想运算放大器情况下,εv 降至零;但是,让我们考虑一些非常保守的价值观。下面的公式8求解了公式7,假设维持IBIAS所需的vBE为0.5V,运算放大器的增益为平庸的104。

对于1.25V基准电压源,这表示大约千分之四或40ppm的误差,也就是说,这种误差可以安全地视为可以忽略不计。
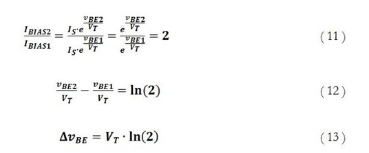
现在考虑一下当我们增加输入电压时εv会发生什么,因此IBIAS;具体来说,假设我们从某个任意工作点将IBIAS加倍,如公式9和10所示。

支持IBIAS翻倍所需的VBE变化现在可以通过将公式10除以公式9并简化公式11至13中的项来得出。

最后,我们可以推导出支持加倍IBIAS所需的εv变化方程,如公式14和15所示。

将室温值代入热电压VT,并(再次)假设平庸的运算放大器增益为104,我们可以求解公式15,得到使IBIAS加倍所需的Δεv保守值,得到下面的公式16。

在这种情况下,每次IBIAS加倍时,vref处的电压仅增加1.792μV。正是这种运算放大器增益与基极-发射极二极管的指数IV特性的倍增,模拟了齐纳击穿行为。
以不同的方式连接基准电压源,我们可以利用其内部运算放大器来产生一个简单的吸电流,如下图3所示。

图 3:简单基准电压源衍生吸电流
为了直观地了解这里发生的情况,请考虑插入的功能图来代替符号,如下面的图 4 所示。

图 4:简单的吸电流功能图
请注意,VIN、RBIAS和BJT电路实质上充当运算放大器的反相输出级。因此,我们可以将总组合折叠成一个新的运算放大器符号,具有新的增益、AT和反向输入极性,如图5所示。

图5:简单的吸电流功能图和等效电路
因此,我们得出了本系列第一篇文章中讨论的相同吸电流电路。
审核编辑:郭婷