时间:2023-04-01 10:53
人气:
作者:admin
1.析气现象 如下图所示,锂电池的电解液是由溶剂、溶质锂盐、添加剂在一定的条件下按照一定的比例配置而成。

目前电解液的溶剂主要有碳酸二甲酯(DMC)、碳酸二乙酯(DEC)、碳酸丙烯酯(PC)、碳酸乙烯酯(EC)、碳酸甲乙酯(EMC)等几类。这几类溶剂在电池端电压超过一定时容易发生还原分解反应,产生大量气体。以EC为例,当电压超过一定值时,EC发生还原分解反应:

分析可知,在锂离子电池充电过程中,电解液溶剂会发生一些还原反应,这些还原反应会产生大量的CH2和CO气体,如果不对蓄电池电解液溶剂还原反应采取相应措施,会发生大量的析气现象,这不仅会消耗电能,析出的气体还会腐蚀极板,使极板变形,损害蓄电池。
2.极化现象
2.1 极化现象产生的原因及种类
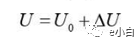
充电过程中,锂离子电池的端电压要高于开路电压,它们之间的差值,就是锂离子电池充电时的过电压(Overvoltage),也可称为过电势(Overpotential),这种现象称为电极的极化(Polarization)现象。可以用下式表示:
上式中U0为开路电压,U为锂离子电池端电压,△U则为锂离子电池的极化电压,在锂离子电池充电过程中,想要加快充电速度,提高充电效率,使电能能够充分利用,则需要采取一些措施,尽可能减小极化电压△U的值。 锂离子电池的极化现象是由许多因素造成的,根据不同的因素,通常把极化现象划分为三个大类: (1)欧姆极化 欧姆极化是由充电时,锂离子电池内部各组件都具有一定的内阻,当锂离子电池充电时,电流流过这些组件会受到一些阻碍,就产生了欧姆极化现象。充电进行的时候,会发生电化学反应,锂离子向电极扩散,扩散过程中会受到来自这些内部组件的阻力,为了克服这个阻力,充电电流会有一部分用来推动锂离子的扩散。欧姆极化可以通过下式表示:
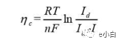
上式中,RΩ为欧姆内阻,Ⅰ为充电电流,UΩ为欧姆电压,由上式知,采用大电流充电时,Ⅰ增大,随之欧姆电压UΩ也会增大,即极化现象加剧,这会使锂离子电池内部温度增加,一部分电解液会发生还原反应产生气体,这些现象造成了电能的耗损,将电流减小或者停止充电,都可以去除欧姆极化效应。 (2)浓差极化 锂离子电池充电时,在其正负两极板上,都发生化学反应,这些化学反应使锂离子电池内部的电解液中各种参与电化学反应的粒子浓度发生改变,即锂离子电池内部电解液的浓度在充电前后发生了改变,这种改变会导致锂离子电池的正负极之间产生电位差,这就是浓差极化现象。浓差极化用ηc表示:
上式中Ⅰd为极限扩散电流密度;R为气体常数;T为绝对温;;F为法拉第常数。由上式可知,浓差极化受电流密度Ⅰd影响,当充电电流逐渐增大时,电化学反应会变剧烈,致使电流密度Ⅰd增大,浓差极化也增大。因此,减小充电电流和停充,都可以缓解浓差极化现象。
(3)电化学极化
在锂离子电池充放电过程中,其正负两极都发生了电化学反应,使两个极板之间的电位互相向对方偏移,这就是电化学极化现象。电化学极化用ηe表示:
上式中Ⅰ0为交换电流密度。大电流充电会使电化学极化随之增大,电化学极化的增大会导致锂离子电池内部电化学反应的加剧,致使电解液浓度发生巨大变化,同时还会造成电解液反应产生气体,会使锂离子电池的极板腐蚀和变形,对其造成不可逆的损害,跟浓差极化相似,当减小充电电流或者停充时,能有效的缓解电化学极化现象。 从以上分析可知,锂离子电池的充电过程中存在极化现象,但每个阶段的极化程度都不同。充电初期时,电解液的反应还没有那么剧烈,因此,主要的极化都是由欧姆内阻引起的。随着充电电流变大,其欧姆极化也渐渐增大,但电化学极化是以对数趋势缓慢增大,其增加速度很慢,对锂离子电池的影响可以暂时忽略不计,充电中后期,电解液中的Li+含量逐渐增多,极限扩散电流密度Ⅰd随着Li+的增多逐渐减小,充电电流密度Ⅰ与极限扩散电流密度Ⅰd的之间的差值越来越小,因此,浓差极化和电化学极化会快速增加,此时,主要的极化则由欧姆极化转变为浓差极化和电化学极化。
2.2 极化现象对充电过程的影响
在锂离子电池充电过程中,极化现象对其会有许多负面影响。如: (1)发生极化现象时,充电电流受锂离子电池内部的过电压影响,增加速度变慢,从而导致电解液中活性物质参与反应的能力降低,电化学反应速度降低。 (2)发生极化现象时,锂离子电池内部电解液的反应加剧,使析气现象严重。析出的气体使充电过程变缓,同时对极板造成物理冲击,腐蚀极板,使极板变形。 (3)发生极化现象时,锂离子电池内部电解液反应过程中,会散发大量的热量,导致其内部温度逐渐升高,内部的温度会在短时间之内不停累积,高温会使电解液的反应更加迅速,从而使温度越发升高,极化现象越发剧烈。
2.3 去除极化的方法
(1)强制消除。根据马斯三定律可知,当蓄电池充电过程中,强制的给锂离子电池施加一个反向电流充电,其内部的化学反应也随着逆向变化,即对锂离子电池进行一定深度的放电,可以有效的使其内部的化学反应反向,从而消除浓差极化。 (2)自然消除。在锂离子电池充电过程中,如果使其瞬间停充,这时充电电流等于零,欧姆极化也为零,即瞬间消除了欧姆极化。同时,由于停充,使蓄电池内部的电化学反应速度也减缓,对扼制电化学极化和浓差极化都有一定的作用。 (3)反馈控制。在充电过程中,析气反应和温升给锂离子电池会造成巨大损害,因此要解决这两个问题。有研究表明,在锂离子电池充电过程中,蓄电池的端电压在一定的阀值以内时,析气反应和温度上升都不明显,因此,可以通过锂离子电池在充电过程中的端电压状况来判断其极化程度,并以此作为依据,对锂离子电池充电过程中的充电电流进行反馈控制。
编辑:黄飞