时间:2023-03-02 11:02
人气:
作者:admin
有一个电磁吸铁,厂家介绍他瞬时电流可达60A,充磁时间为1-1.5s内,目前条件不够,只有0.5mm ²的线,线长5米,想请问是否可以频繁短时间使用,怎么计算呢?
这个问题的关键是导线的温度。
我们知道,处于运行态的导线表面最高允许温度是70℃,如果导线流过电流后的温度超过最高允许温度,则导线必将损毁,其外部包裹层的绝缘能力下降,材料的机械特性下降,导线接头氧化加剧,导线老化加剧。
对于题主的问题,我们看到0.5mm²铜芯导线(题主未说导线材质,考虑到一般性,我们假定导线线芯材质为铜)流过的电流为60A,电流持续时间是1.5s,题主问此导线是否能够承载此电流?
问题思索的方向是这样的:
第一步:按最高运行温度为70℃来确定0.5mm²铜芯导线的额定载流量;第二步:确定导线在标准状态(国家相关标准规定开关和控制设备的外部环境温度为40℃)下流过60A电流且持续时间是1.5s,求得其表面温度值。若导线表面温度超过70℃的最高允许值,则此导线当然不能使用。
以下我们来讨论。
1.载流导体的热平衡方程式
设流过导线的电流是I,电流流过的时间长度是t,导线电阻是R,导线的电阻率是ρ0,其电阻温度系数是α,表面温度是θ,导线长度是L,截面积是S,则电流对导线产生的发热热量Q1为:

设导线的初始温度是θ0,当前温度是θ,导线的比热容是C,导线的质量是m,则导线自身温度上升所消耗的热量Q2为:

设导线表面温度与环境温度之差也即温升为τ,导线的表面散热面积(不包括两个端面)是A,A=ML,M是导线截面周长,L是导线长度;导线的综合散热系数是Kt,Kt是热对流、热传导和热辐射的综合系数,则导线散热消耗的热量Q3为:

注意这里有:Q3=Pt而散热功率P=KtAτ。散热功率的表达式又叫做牛顿散热公式,它是大名鼎鼎的牛顿首先提出并运用的。

图1:牛顿和牛顿散热公式
有发热当然就会有散热,这对于导线来说也不例外。当导线运行时,其发热与散热的关系是:

我们把式4叫做导线的热平衡方程式。
注意1:式4的形式很重要,它既可以运用于导线、导体和母线的热平衡关系,也可以用于开关电器乃至于各种电器设备的热平衡关系。
1)当导线流过的电流是稳定不变的,则经过一段时间后,导线的表面温度趋于稳定,式4中的

注意2:在式5的导线载流量和温升表达式中,已经没有了导线的长度L。看似是因为推导过程中把长度L给消去了,其实是有原因的:导线的载流量与导线的长度无关。我们在查阅导线的载流量表时,也会看到这一点。
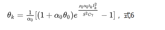
2)当导线流过瞬态强电流(例如短路电流Ik,流过的时间长度是tk),导线来不及散热,全部热量用于导线的温度升高,式4中的Q1=Q2,Q3=0我们把式4中导线的温度、温升和时间均换成变量导数,求此微分方程得到导线的表面温度θk:

式6中的γ是导线线芯材料的密度。
有了这些计算公式,我们就可以定量地分析题主的问题了。
2.导线在稳态运行条件下的载流量计算方法

注意3:对于温升,它的单位既可以是摄氏度℃,也可以是开尔文温标K。为何?(理解这一点很重要!!!)
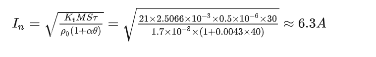
对于截面积在1.5平方毫米以下的细导线,其散热能力相对较强,综合散热系数的值在19到21之间。我们设题主的导线散热良好,且在空气中敷设,则取Kt=21W/(m2·K )。我们把数据代入到计算导线额定电流的式5式子中:

我们看到0.5平方毫米的导线额定载流量在6.3A左右。如果导线敷设条件是封闭的,则其载流量更低。
由于60A的电流比6.3A大了9.5倍,对于0.5平方毫米的导线来说就相当于瞬态的短路电流,我们用式6来计算它的表面温度。
3.导线流过瞬态大电流时其表面温度的计算方法

计算表明,当通电电流为60A通电时间是1.5秒时,0.5平方毫米导线的表面温度是194.5℃,远超70℃的最高允许限值,故题主的提问是否定的。
至于通电时间是1秒时的导线表面温度,就留给题主自己去计算确认吧。另外,题主可以把25℃常用温度或者实际温度代入来计算。
式6不但可以计算导线的最高温度,还可以计算短路电流流经母线铜排和开关电器内部导体的最高温度,进一步得到开关柜和开关电器的热稳定性(短时耐受电流Icw),是一个重要计算式。
需要说明的是:导线耐受瞬间短路电流冲击的实际温度会比较高,并不止70℃。然而,在实际短路发生时线路保护设备会执行开断操作,导线受到的热冲击时间从50毫秒到1.5秒,之后导线或者电缆迅速降温。对比题主的导线使用条件,这里的60A冲击电流会不断周期性地出现,事实上是工作电流,与短路电流相比对导线的冲击更加严酷,故我们要用最高温度限值70℃来计算。
注意4:式6指数项分子部分出现了 I2k,分母部分出现了S²,两者之比就是电流密度J²。可见,式6还可以用电流密度的平方来计算。
4.如果导线是多股线,又会如何?
多股线与单芯线,差别在哪里?
直观地说,多股线相对单芯线更软,敷设和接线更加方便。但如果多股线与单芯线的截面积相同,例如都是0.5mm²,那么它的载流量又会如何?0.5mm²多股线允许流过60A的冲击电流吗?
查了《电线电缆选用手册》,0.5mm²多股线的芯线有7根,每根芯线的直径是0.301mm。我们看下图:

图二:7芯多股线的总面积和外围周长M
我们由图2看到,中心部位的导线无法散热,外围6根导线中每根导线有效散热角度是240度,占圆周长的2/3。因此可计算出标称截面为0.5mm²的七芯多股线的外围散热有效周长M和总截面面积为:

我们用式5来计算它的载流量:

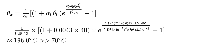
我们再看流过60A电流时的最高温度:

我们看到,最高温度是196℃,比单芯0.5mm²导线的温度194.5℃略微增加,其原因是截面积减小了。我们看到导线的温度依然远远高于70℃的最高温度限值。
可见,采用多股线对提高载流量是有利的,但对于抵御冲击性的大电流(包括短路电流在内)并没有改善多少。
5.结论
经过计算讨论,我们得到结论了:
题主的想法是否定的,截面积为0.5mm²的单芯或者多股导线在1.5秒内不可能承载60A的电流,导线的外表面塑料绝缘层会烧毁,并且导线接头也会过热而发生电接触问题。
我们看到,最高温度是196℃,比单芯0.5mm²导线的温度194.5℃略微增加,其原因是截面积减小了。我们看到导线的温度依然远远高于70℃的最高温度限值。
可见,采用多股线对提高载流量是有利的,但对于抵御冲击性的大电流(包括短路电流在内)并没有改善多少。
写在后面:
通过本贴的讨论计算,我们看到许多定性分析不清楚的问题,通过定量分析很容易知道其结果。
对于电气和工控工作者来说,定量分析是一种有效的解决问题的方法。我们把定量分析与MATLAB仿真分析结合起来,就能解决设计应用中的许多难题。
事实上,定量分析法和仿真分析法,是我们动手能力的一部分,值得我们加以关注和提高。
最后给题主提个建议:不但要把关注点放在导线上,还要把关注点放在导线与电路的接触点上。
建议实测接触点的接触电压Uj,然后代入下式求得接触点的实际温度θ:

式8中,τx是导线的温升,计算方法见式5;Uj就是接触电压;L是洛伦兹系数, L=2.4×10-8V2/K2;T是导线的绝对温度,也即把求得的导线摄氏度温度加上273.15,换成绝对温度值。
如果接触点的实际温度超过规定值,同样是不允许的。
这位工程师给出答案后,还有一些小伙伴也给出不同的看法!
可以,这么接。
并16根就问题不大,保险起见并20根。
答这道题太费钱了。好几块的线都搭进去了。
做过高压磁阻式电磁炮(线圈炮)实验,驱动电压800伏,用0.8mm线制作线圈,线圈电阻实测不足1欧。开始也曾怀疑线圈承受不了。但实验结果是线圈能够在短时间(毫秒以下)内承受超过1000安的电流,一点问题也没有。
编辑:黄飞