时间:2023-04-20 11:13
人气:
作者:admin
负电压被用于为汽车信息娱乐系统中数量越来越多的 LCD 显示屏供电。同样,在工业和铁路环境中,负电压轨可满足仪表和监视应用的需要。在所有的情况下,负电压轨均必须用正电源产生,但是正至负 IC 不像降压型控制器那样容易获得。制造商不太可能拥有经过测试的合格负输出转换器,却很可能已经有了一些经过核准的降压型控制器,例如 LTC3892 双输出控制器。为避免因测试专用负输出转换器招致额外的耗时和成本,可使用 LTC3892 双输出降压型控制器以 C`uk 拓扑产生负输出电压。
双输出转换器:–12 V/3 A 和 3.3 V/10 A
LTC3892 是一款双输出控制器,其中一个输出可用于提供一个正电压,而另一个通道则用于产生一个负电压,如图1 所示。这款解决方案的输入电压范围为 6V 至 40V,其中 VOUT1 等于 3.3V (10A), VOUT2 配置为直通式降压型转换器拓扑,具有功率链路组件Q2、Q3、L1,以及输出滤波电容器。将输出设定为 3.3V 无需在 VFB 引脚上布设分压器(直接连接至输出),因为 LTC3892-2 具有固定的 3.3 V 或 5 V 输出 (分别通过将 VPRG1 接地或连接至 INTV等于 –12V (3A)。VOUT1CC来设定)。

图 1. 一款用于产生正电压和负电压的解决方案。VOUT1 为 3.3V (10 A),VOUT2为 –12V (3A)。
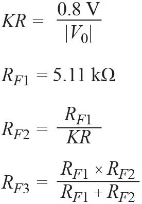
VOUT2是一个负输出电压(相对于GND)。运放U2(LT1797连线为一个差分放大器,用于检测该负电压并将其调整为 LTC3892 误差放大器 (EA))的 0.8V 基准。在这一方法中,LTC3892 的 EA 和这个运放均参考于系统GND,从而简化了电源控制和功能。用于设定负输出电压的种子公式为:

V~OUT2 ~采用异步 Cuk 拓扑,并包括功率链路组件 Q1、D1、L2 和输出滤波电容器。Cuk 拓扑在其他技术文献中有广泛涉及,所以这里就不详细介绍了。功率链路组件上承受的应力可用下面的公式概括:

这款解决方案的评估采用了DC2727A 演示板,图2 示出了VOUT2 效率。另外,这种方法在我们 LTC3892-2 的 LTspice^®^ 仿真模型中也是可用的。

图 2. 在14V 输入时负输出(V OUT2 )的效率。